图是电场中某区域的电场线分布图,
P点是电场中的一点,则( )![]()
| A.P点的电场强度方向向左 |
| B.P点的电场强度方向向右 |
| C.正点电荷在P点所受的电场力的方向向左 |
| D.负点电荷在P点所受的电场力的方向向右 |
下列关于点电荷的说法,错误的是( )
| A.点电荷是一个带有电荷的几何点,它是实际带电体的抽象,是一种理想化的模型 |
| B.带电体如果本身大小和形状对它们间的相互作用影响可忽略,那么,可视为点电荷 |
| C.很小的带电体一定可以看作点电荷 |
| D.很大的带电体也有可能可以看作点电荷 |
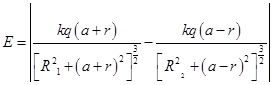
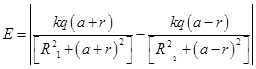
如图所示,在电场强度为E=2×103 V/m的匀 强电场中有三点A、M和B,AM=4 cm,MB=3 cm,AB=5 cm,且AM边平行于电场线.把一电荷量q=2×10-9 C的正电荷从B点移动到M点,再从M点移动到A点,电场力做功为( ) ![]()
| A.0.16×106J | B.0.12×10-6 J |
| C.-0.16×10-6 J | D.-0.12×10-6 J |
如图所示是某一点电荷的电场线分布图,下列表述正确的是 ( )![]()
| A.a点的电势高于b点的电势 |
| B.该点电荷带负电 |
| C.a点和b点电场强度的方向相同 |
| D.a点的电场强度大于b点的电场强度 |
如图1所示,匀强电场E的区域内,在O点放置一点电荷+Q.a、b、c、d、e、f为以O为球心的球面上的点,aecf平面与电场平行,bedf平面与电场垂直,则下列说法中正确的是 ( )![]()
| A.b、d两点的电场强度相同 |
| B.a点的电势等于f点的电势 |
| C.点电荷+q在球面上任意两点之间移动时,电场力一定做功 |
| D.将点电荷+q在球面上任意两点之间移动时,从a点移动到c点电势能的变化量一定最大 |
在静电场中 ( )
| A.电场强度处处为零的区域内,电势一定也处处为零 |
| B.电场强度处处相同的区域内,电势一定也处处相同 |
| C.电场强度的方向总是跟等势面垂直 |
| D.电势降低的方向就是电场强度的方向 |
如图所示,MN是一条电场线上的两点,若将一负电荷由M点移到N点时,电荷 服 克服电场力做功,下列说法中正确的是( )![]()
| A.M点和N点之间一定有电势差 |
| B.M点场强一定大于N点场强 |
| C.M点电势一定高于N点电势 |
| D.电场线的方向从N指向M |