已知点电荷A的电荷量是点电荷B的2倍,则A对B的作用力大小跟B对A的作用力大小的比值为( )
| A.2∶1 | B.1∶2 |
| C.1∶1 | D.不一定 |
将两个相距较近的小球放在光滑绝缘的水平桌面上,让他们带上同种但不等量的电荷。现同时由静止释放,它们仅在库仑力作用下运动的过程中( )
| A.它们之间的库仑力不断减小 | B.它们的加速度之比保持不变 |
| C.它们之间的库仑力不断增大 | D.它们的动能之和不断增加 |
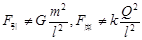
两根长直通电导线互相平行,电流方向相反,它们的截面处于一个等边三角形ABC的顶点A和B处,如图所示。两通电导线在C处的磁场的磁感应强度的值都是B,则C处磁场的总磁感应强度是( ) ![]()
| A.2B | B.B |
| C.0 | D. |
如图所示,在一个粗糙的绝缘水平面上,彼此靠近地放置两个带正电荷的小物块。由静止释放后, 两个物块向相反方向运动,并最终停止.在物块的运动过程中,下列表述正确的是( )
| A.物块受到的摩擦力始终小于其受到的库仑力 |
| B.物块先作匀加速直线运动,再作匀减速运动 |
| C.因摩擦力始终做负功,故两物块组成的系统的机械能一直减少 |
| D.整个过程中物块受到的库仑力做的功等于电势能的减少 |
三个相同的金属小球1、2、3分别置于绝缘支架上,各球之间的距离远大于小球的直径。球2所带电荷量大小是球1的n倍,球3不带电且离球l和球2很远,此时球1、2之间作用力的大小为F。现使球3先与球2接触,再与球1接触,然后将球3移至远处,此时1、2之间作用力的大小仍为F。由此可知n的取值可能是 ( )
| A.n =3 | B.n="6" | C.n=7 | D.n=10 |
真空中有两个点电荷,他们的电荷量分别为-2Q和+4Q,若它们相r时的静电力为F,则把它们接触后分开再放到相距2r处,它们间的静电力为( )
| A.F/4 | B.F/8 | C.F/16 | D.F/32 |