将电量为3×10-6C的负电荷,放在电场中A点,受到的电场力大小为6×10-3N,方向水平向右,则将电量为6×10-6C的正电荷放在A点,受到的电场力为( )
| A.1.2×10-2N,方向水平向右 | B.1.2×10-2N,方向水平向左 |
| C.1.2×102N,方向水平向右 | D.1.2×102N,方向水平向左 |
已知真空中两点电荷Q与q的作用力为F,现使它们的带电量都增加为原来的3倍,
并把它们之间的距离缩小为原来的三分之一,则此时它们之间的作用力为( )
| A.F | B.9F | C.27F | D.81F |
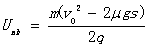
绝缘水平面上固定一正点电荷Q,另一质量为m、电荷量为-q(q>O)的滑块(可看作点电荷)从a点以初速度v。沿水平面向Q运动,到达b点时速度减为零,已知a、b间距离为s,滑块与水平面间的动摩擦因数为μ,重力加速度为g.以下判断正确的是 ( )![]()
| A.滑块在运动过程中所受Q的库仑力有可能大于滑动摩擦力 |
| B.滑块在运动过程的中间时刻,速度的大小等于 |
| C.此过程中产生的内能为 |
| D.Q产生的电场中,a,b两点间的电势差为 |
两个相同的金属小球所带电量不同,小球间相距一定距离时有相互作用的库仑力。如果将它们相互接触一下,再放到原来的位置,则两金属小球之间库仑力的变化情况是:
| A.如果相互接触前库仑力是引力,则相互接触后库仑力仍是引力 |
| B.如果相互接触前库仑力是引力,则相互接触后库仑力是斥力 |
| C.如果相互接触前库仑力是斥力,则相互接触后库仑力一定增大 |
| D.如果相互接触前库仑力是斥力,则相互接触后库仑力一定减小 |
真空中有两个相同的金属球,相距为L,金属球的半径比L小得多,它们的带电量分别为-q和+3q,这时相互间的引力为F。现将这两个金属球相接触,然后分开,仍放回原处,则它们之间的相互作用力大小将变为
| A.F | B.4F/3 | C.3F/4 | D.F/3 |