两个半径为R的金属球所带电荷量分别为+Q1和+Q2,当两球心相距为r时,相互作用的库仑力大小为
| A. | B. | C. | D.无法确定 |
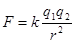
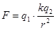
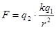
q1、q2为真空中的两个点电荷,设它们之间相互作用力的大小为F,关于F可以写出三个表达式,一个是
,另一个是
,再有一个是
。关于这三个表达式下列说法中正确的是( )
| A.前两种表达的形式不同,但采用的物理观点相同 |
| B.前两种表达的形式不同,采用的物理观点也不同 |
| C.后两种表达采用的物理观点相同,表达的内容也完全相同 |
| D.后两种表达采用的物理观点不同,但表达的内容完全相同 |
如图所示,把一个带正电的小球a放在光滑绝缘斜面上,欲使球a能静止在斜面上,需在MN间放一带电小球b,则b应![]()
| A.带负电,放在A点 |
| B.带负电,放在C点 |
| C.带正电,放在B点 |
| D.带正电,放在C点 |
如图所示用三根长度相同的绝缘细线将三个带电小球连接后悬挂在空中,三个带电小球质量相等,A球带正电,平衡时三根绝缘细线都是直的,但拉力都为零.则
| A.B球和C球都带正电荷 |
| B.B球带负电荷,C球带正电荷 |
| C.B球和C球所带电量不一定相等 |
| D.B球和C球所带电量一定相等 |
.