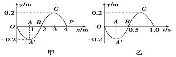
一列简谐横波,在t="5.0" s时的波形如图4甲所示,图乙是这列波中质点P的振动图线,那么该波的传播速度和传播方向是 ( )![]()
| A.v="0.25" m/s,向右传播 |
| B.v="0.50" m/s,向右传播 |
| C.v="0.25" m/s,向左传播 |
| D.v="0.50" m/s,向左传播 |
如图,(a)为一波源的共振曲线,(b)图中的a表示该波源在共振状态下的振动形式沿x轴传播过程中形成的机械波在t=0时刻的波形曲线。则下列说法错误的是( )![]()
| A.(a)图中,若驱动力周期变小共振动曲线的峰将向频率f大的方向移动 |
| B.(b)图中,波速一定为1.2m/s |
| C.(b)图中,a、b波形时间间隔可能为2.5s |
| D.(b)图中,遇到宽度为2m的狭缝能发生明显的衍现象 |
如图所示,甲为某一波在t=0.5 s时的波形图象,乙为参与该波动的P质点的振动图象.![]()
| A.该波向左传播 |
| B.该波向右传播 |
| C.再过2.5 s该波会沿传播方向向前传播10m |
| D.再过2.5 s P质点走过的路程是10m |
下图中给出某一时刻t的平面简谐波的图象和x=1.0m处的质元的振动图象,关于这列波的波速v、传播方向和时刻t可能是![]()
| A.v=1.0m/s,t=0 |
| B.v=1.0m/s,t=6s |
| C.t=3s,波向x正方向传播 |
| D.t=5s,波向x正方向传播 |
一简谐横波在图中x轴上传播,实线和虚线分别是t1时刻和t2时刻的波形图,已知t2-t1=1.0s.由图判断下列哪一个波速是不可能的![]()
| A.1m/s | B.3m/s | C.5m/s | D.10m/s |
一列简谐横波沿直线由a向b传播,相距10.5m的a、b两处的质点振动图象如图中a、b所示,则( )![]()
| A.该波的振幅可能是20cm |
| B.该波的波长可能是8.4m |
| C.该波的波速可能是10.5 m/s |
| D.该波由口传播到6可能历时7s |
一列简谐横波沿x轴传播,t=0时刻的波形如图所示。则从图中可以看出:![]()
| A.这列波的波长为5m |
| B.波中的每个质点的振动周期为4s |
| C.若已知波沿x轴正向传播,则此时质点a向 下振动 |
| D.若已知质点b此时向上振动,则波是沿x轴负向传播的 |
如图所示为声波1和声波2在同一种介质传播时某时刻的波形图,则下列说法中正确的是 ( )![]()
| A.波2速度比波1速度大 |
| B.波2频率比波1频率大 |
| C.波2的波长比波1的波长小 |
| D.这两列波不可能发生干涉现象 |