如图所示,虚线和实线分别为一列简谐横波上两质点P、Q的振动图象,两质点相距30m,则(1)若P质点离波源近,则波速多大?(2)若Q质点离波源近,则波速多大?
(9分)有一弹簧振子在水平方向上的B、C之间做简谐运动,已知B、C之间的距离为20cm,振子在2s内完成了10次全振动,若从振子经过平衡位置时开始计时,经过四分之一周期振子有正向的最大加速度。(1)写出振子的振幅和周期;(2)作出该振子的位移—时间图象;(3)写出振子的振动方程。
如图一列简谐横波,其中p点振动方向向上,则此波的传播方向是 ,当a点第二次回到平衡位置时,质点a经过的路程为 米。
一弹簧振子悬挂在一列静止的火车上,振动的位移—时间图线如图所示。求:(1)t=2s时,振子的振动方向;(2)0~2s内,振子运动的路程;(3)若火车水平匀速行驶,每节铁轨的长度为12m,则火车速度多大时,弹簧振子受迫振动的振幅最大?
如图甲是一个单摆振动的情形,O是它的平衡位置,B、C是摆球所能到达的最远位置。设摆球向右运动为正方向。图乙是这个单摆的振动图象。(取g=10 m/s2)(1)由图象可知,单摆振动的频率为____ ____Hz。(2)t=0时,摆球应在___ _____点。(3)此摆的摆长为___ _____m。
图甲是利用沙摆演示简谐运动图象的装置. 盛沙的漏斗下面的薄木板被水平匀速拉出时,做简谐运动的漏斗漏出的沙,在板上显示出沙摆的振动位移随时间变化的关系曲线.已知木板被水平拉动的速度为0.2m/s. 图乙所示的一段木板的长度为0.6m,则这次实验沙摆摆动的周期为 s.
如图所示是某弹簧振子的振动图像,由图像可知,该振子振动的频率是___________ Hz,0-0.3s内振子运动的路程为___________m。
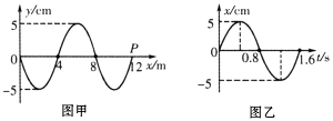
一列简谐波在t=0.8s时的图象如图甲所示,其x=0处质点的振动图象如图乙所示,由图象可知:简谐波沿x轴 方向传播(填“正”或“负”),波速为 m/s,t=10.0s时刻,x=4m处质点的位移是 m.
一列简谐横波在t=0时的波形图如图所示。介质中x=3m处的质点P沿y轴方向做简谐运动的表达式为cm。则此波沿x轴 (选填“正”或“负”)方向传播,传播速度为 m/s。
⑴(5分)如图为频率f=1Hz的波源产生的横波,图中虚线左侧为A介质,右侧为B介质。其中x=14m处的质点振动方向向上。则该波在A、B两种介质中传播的速度之比vA:vB= 。若图示时刻为0时刻,则经0.75 s处于x=6m的质点位移为 cm。