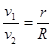
我国绕月探测工程的预先研究和工程实施已取得重要进展。设地球、月球的质量分别为m1、m2,半径分别为R1、R2,人造地球卫星的第一宇宙速度为v,对应的环绕周期为T,环绕月球表面附近圆轨道飞行的探测器的速度和周期分别为
| A. | B. |
| C. | D. |
2011年4月10日4时47分,我国在西昌卫星发射中心用“长征三号甲”运载火箭,成功将第八颗北斗导航卫星送入太空预定转移轨道。这是一颗地球同步轨道卫星。关于第八颗北斗导航卫星的下列说法正确的是 ( )
| A.北斗导航卫星可以定点在北京上空 |
| B.北斗导航卫星运行周期与地球自转周期相同 |
| C.北斗导航卫星运行周期与地球公转周期相同 |
| D.北斗导航卫星轨道一定与赤道平面共面 |
关于开普勒第三定律中的公式
,下列说法中正确的是( )
| A.适用于所有天体 | B.适用于围绕地球运行的所有卫星 |
| C.适用于围绕太阳运行的所有行星 | D.以上说法均错误 |
2010年10月1日18时59分57秒,搭载着嫦娥二号卫星的长征三号丙运载火箭在西昌卫星发射中心点火发射,卫星由地面发射后,进入地月转移轨道,经多次变轨最终进入距离月球表面100公里,周期为118分钟的工作轨道,开始对月球进行探测![]()
| A.卫星在轨道Ⅲ上的运动速度比月球的第一宇宙速度小 |
| B.卫星在轨道Ⅲ上经过P点的速度比在轨道Ⅰ上经过P点时大 |
| C.在轨道Ⅱ上经过P的加速度小于在轨道Ⅰ上经过P的加速度 |
| D.卫星在轨道Ⅰ上的机械能比在轨道Ⅱ上多 |
关于人造地球卫星,下列说法正确的是( )
| A.在地球周围做匀速圆周运动的人造地球卫星的线速度不会超过7.9km/s |
| B.发射速度大于7.9km/s的人造地球卫星进入轨道后的线速度一定大于7.9km/s |
| C.做匀速圆周运动的人造地球卫星无论离地球远近,卫星内物体均处于失重状态 |
| D.所有地球同步卫星的距地高度都是相同的,线速度大小也是相同的,与地球的自转方向相同,但同步卫星质量不一定相同 |
如图a、b、c是在地球大气层外圆形轨道上运动的3颗卫星,下列说法正确的是: ![]()
| A.b、c的线速度大小相等,且大于a的线速度; |
| B.b、c的向心加速度大小相等,且大于a的向心加速度; |
| C.c加速可追上同一轨道上的b,b减速可等候同一轨道上的c; |
| D.a卫星由于某种原因 |