火星的质量和半径分别约为地球的
和
,地球表面的重力加速度为g,则火星表面的重力加速度约为 ( )
| A.0.2g | B.0.4g | C.2.5g | D.5g |
地球绕太阳的运动可视为匀速圆周运动,太阳对地球的万有引力提供地球运动所需的向心力,由于太阳内部的核反应而使太阳发光,在这个过程中,太阳的质量在不断减小(假如地球继续做圆周运动),根据这一事实可以推知,在若干年以后,地球绕太阳的运动情况与现在相比
| A.向心加速度变小 | B.运动频率变小 |
| C.所受太阳的万有引力变大 | D.运动角速度变大 |
已知地球质量大约是月球质量的81倍,地球半径大约是月球半径的4倍。不考虑地球、月球自转的影响,由以上数据可推算出 ( )
| A.地球的平均密度与月球的平均密度之比约为9:8 |
| B.地球表面重力加速度与月球表面重力加速度之比约为9:4 |
| C.靠近地球表面沿圆轨道运行的航天器的周期与靠近月球表面沿圆轨道运行的航天器的周期之比约为8:9 |
| D.靠近地球表面沿圆轨道运行的航天器线速度与靠近月球表面沿圆轨道运行的航天器线速度之比约为81:4 |
下面所叙述的力,属于万有引力的是( )
| A.马对车的拉力 | B.地磁场对指南针的作用力 |
| C.太阳对地球的吸引力 | D.摩擦后的橡胶棒对小纸片的吸引力 |
历史上第一次通过实验比较准确测出万有引力常量的科学家是 ( )
| A.爱因斯坦 | B.牛顿 | C.伽利略 | D.卡文迪许 |
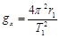
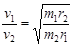
为了探测X星球,载着登陆舱的探测飞船在以该星球中心为圆心,半径为r1的圆轨道上运动,周期为T1。总质量为m1。随后登陆舱脱离飞船,变轨到离星球更近的半径为r2的圆轨道上运动,此时登陆舱的质量为m2则
| A.X星球的质量为 |
| B.X星球表面的重力加速度为 |
| C.登陆舱在r1与r2轨道上运动时的速度大小之比为 |
| D.登陆舱在半径为r2轨道上做圆周运动的周期为 |
设“嫦娥1号”探月卫星的轨道是圆形的,且贴近月球表面.已知月球的质量约为地球质量的1/81,月球的半径约为地球半径的1/4,地球上的第一宇宙速度约为7.9 km/s,则该探月卫星绕月运行的速率约为 ( )
| A.0.4 km/s | B.1.8 km/s | C.11 km/s | D.36 km/s |