河宽420 m,船在静水中速度为4 m/s,水流速度是3 m/s,则船过河的最短时间为( )
| A.140 s | B.105 s | C.84 s | D. |
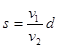
一条河宽为
,河水流速为
,小船在静水中的速度为
,要使小船在渡河过程中所行路程S最短,则( )
| A.当 | B.当 |
| C.当 | D.当![]() |
在抗洪抢险中,战士驾驶摩托艇救人.假设江岸是平直的,洪水沿江向下游流去,水流速度为6 m/s,摩托艇在静水中的航速是8 m/s,战士救人的地点离岸边最近处的距离为32 m,若战士要用最短的时间将人送上岸,则摩托艇的实际航程是( )
| A.32 m | B.40 m | C.52 m | D.60 m |
小船在静水中的航行速度为1m/s,水流速度为2m/s,为了在最短距离内渡河,则小船船头指向应为(图中任意方向间的夹角以及与河岸间的夹角均为300)![]()
| A.a方向 | B.b方向 |
| C.c方向 | D.e方向 |
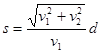
一小船在静水的速度为3m/s,它在一条河宽150m,水流速度为4m/s的河流中渡河,则该小船( )
| A.能到达正对岸 |
| B.渡河的时间可能少于50s |
| C.以最短时间渡河时,它沿水流方向的位移大小为200m |
| D.以最短位移渡河时,位移大小为150m |
某船在静水中的速率为4m/s, 要横渡宽为40m的河, 河水的流速为5m/s、下列说法中不正确的是
| A.该船不可能沿垂直于河岸的航线抵达对岸 | B.该船渡河的速度最小速度是3m/s |
| C.该船渡河所用时间至少是10s | D.该船渡河所经位移的大小至少是50m |
一艘船以相对于静水恒定的速率渡河,水流速度也恒定(且小于船速),若河的宽度一定,要使船到达对岸航程最短,则( )
| A.船头指向应垂直河岸航行 | B.船头指向应偏向下游一侧 |
| C.船头指向应偏向上游一侧 | D.船不可能沿直线到达对岸 |
