一只小船在静水中的速度大小始终为5m/s,在流速为3m/s的河中航行,则河岸上的人能看到船的实际航速大小可能是 ( )
| A.1m/s | B.3m/s | C.8m/s | D.10m/s |
如图所示,某人游珠江,他以一定速度面部始终垂直河岸向对岸游去.江中 各处水流速度相等,他游过的路程、过河所用的时间与水速的关系是( )![]()
| A.水速大时,路程长,时间长 |
| B.水速大时,路程长,时间短 |
| C.水速大时,路程长,时间不变 |
| D.路程、时间与水速无关 |
某河宽为600m,河中某点的水流速度v与该点到较近河岸的距离d的关系图象如图所示。船在静水中的速度为4m/s,船渡河的时间最短。下列说法正确的是![]()
| A.船在行驶过程中,船头始终与河岸垂直 |
| B.船在河水中航行的轨迹是一条直线 |
| C.渡河最短时间为240s |
| D.船离开河岸400m时的速度大小为2 |
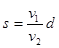
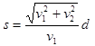
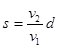
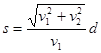
一条河宽为
,河水流速为
,小船在静水中的速度为
,要使小船在渡河过程中所行路程S最短,则( )
| A.当 | B.当 |
| C.当 | D.当 |
一人以不变的速度面向河对岸游去,游到河中间时,水的流速增大,则渡河人实际所用的时间比预定的时间( )
| A.增大 | B.减小 | C.不变 | D.不能确定 |
江中某轮渡站两岸的码头A和B正对,如图所示,水流速度恒定且小于船速.若要使渡船从A沿直线运动到B,则船在航行时应( )![]()
| A.船头垂直河岸航行 |
| B.船头适当偏向上游一侧 |
| C.船头适当偏向下游一侧 |
| D.无论如何,船均不能到达正对岸 |
如图,有一小船位于宽60米河的中间A处,从这里起,在下游40米处河流有一大瀑布,假设河水流速为5m/s,为了小船不致在瀑布处落下而达到对岸,则小船在静水中的最小速度是( ) ![]()
| A.2.25m/s | B.3m/s | C.3.75m/s | D.4 m/s |
一河宽60m,船在静水中的速度为4m/s,水流速度为3m/s,则 ( )
| A.过河的最小位移是75m,所用时间是15s |
| B.过河的最小位移是60m,所用时间是12s |
| C.过河的最短时间为12s,此时的位移是60m |
| D.过河的最短时间为15s,此时的位移是75m |