如图所示,从一根内壁光滑的空心竖直钢管A的上端边缘沿直径方向向管内水平抛入一钢球.球与管壁多次相碰后落地(球与管壁相碰的时间不计);若换一根等高但直径更大的内壁光滑的钢管B,用同样的方法抛入此钢球,则运动时间( )![]()
| A.在A管中的球运动时间长 |
| B.在B管中的球运动时间长 |
| C.在两管中的球运动时间一样长 |
| D.无法确定 |
如图二所示,一阶梯高宽都为0.4m,一球以水平速度v飞出,欲打在第四级台阶上,则v的取值范围是![]()
| A. |
| B.2 |
| C. |
| D.2 |
.如图所示,一个半径为R的半圆环ACB竖直放置(保持圆环直径AB水平),C为环上的最低点。一个小球从A点以速度v0水平弹出,不计空气阻力.则下列判断正确的![]()
| A.总可以找到一个v0值,使小球垂直撞击半圆环的AC段 |
| B.总可以找到一个v0值,使小球垂直撞击半圆环的BC段 |
| C.无论v0取何值,小球都能垂直撞击半圆环 |
| D.无论v0取何值,小球都不可能垂直撞击半圆环 |
如图所示,从倾角为
的斜面上的M点水平抛出一个小球,小球的初速度为v0,最后小球落在斜面上的N点.则( )![]()
| A.可求M、N点之间的距离 |
| B.可求小球落到N点时速度的大小和方向 |
| C.可求小球落到N点时的动能 |
| D.当小球速度方向与斜面平行时,小球与斜面间的距离最大, |
以速度v0水平抛出一小球,如果从抛出到某时刻小球的竖直分位移与水平分位移大小相等,以下判断正确的是( )
| A.此时小球的竖直分速度大小等于水平分速度大小 |
| B.此时小球的速度大小为 |
| C.小球的运动时间为v0/g |
| D.此时小球速度的方向与位移的方向相同 |
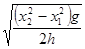
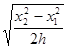
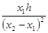
某同学在做平抛实验中,在纸上记下了纵坐标y,描出了如图所示的一段曲线,忘记标出抛出点的位置。为了求得初速度,他在曲线上取A、B两点,并用刻度尺分别量出它们到y轴的距离x1、x2,以及AB的竖直距离h,则小球的初速度v0和落到A点时下落的竖直高度y0应为下面的:
| A.初速度为 | B.初速度为 |
| C.竖直高度 | D.竖直高度为 |
如图,在同一水平直线上的两位置分别向右水平抛出两小球A和曰,其运动轨迹如图所示,不计空气阻力。要使两球在空中相遇,必须满足的条件是
| A.先抛出A球 |
| B.先抛出B球 |
| C.同时抛出两球 |
| D.两球质量相等 |