用竖直拉力将重物竖直提起,先是从静止开始匀加速上升,紧接着匀速上升,再接着匀减速上升到速度为零。如果前后三个过程的运动时间相同,不计空气阻力,三段过程拉力做的功依次为W1、W2和W3,则( )
| A.W1可能等于W2 | B.W1一定大于W3 |
| C.W2可能等于W3 | D.可能有W1=W2=W3 |
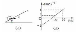
如图(a)所示,用一水平外力F拉着一个静止在倾角为θ的光滑斜面上的物体,逐渐增大F,物体做变加速运动,其加速度a随外力F变化的图像如图(b)所示,若重力加速度g取10m/s2.根据图(b)中所提供的信息可以计算出![]()
| A.物体的质量 |
| B.斜面的倾角 |
| C.加速度为6m/s2时物体的速度 |
| D.加速度由2m/s2增加到6m/s2过程物体通过的位移 |
如图所示,一个单摆悬挂在小车上,随小车一起沿斜面下滑,图中虚线①垂直于斜面,虚线②平行于斜面,虚线③沿竖直方向.下列说法中正确的是( )![]()
| A.如果斜面是光滑的,摆线将与虚线①重合 |
| B.如果斜面是光滑的,摆线将与虚线②重合 |
| C.如果斜面粗糙且μ<tanθ,摆线将位于①③之间 |
| D.如果斜面粗糙且μ>tanθ,摆线将位于①③之间 |
水平传送带被广泛地应用于机场和火车站,用于对旅客的行李进行安全检查。如图所示为一水平传送带装置示意图,紧绷的传送带AB始终保持v=1 m/s的恒定速率运行。旅客把行李无初速度地放在A处,设行李与传送带之间的动摩擦因数μ=0.1,AB间的距离为2 m,g取10 m/s2。若乘客把行李放到传送带的同时也以v=1 m/s的恒定速度平行于传送带运动去B处取行李,则 ![]()
| A.乘客与行李同时到达B |
| B.乘客提前1.5 s到达B |
| C.行李提前0.5 s到达B |
| D.若传送带速度足够大,行李最快也要2 s才能到达B |
粗糙水平面上放置质量分别为2m和3m的四个木块,其中两个质量为2m的木块间用一不可
伸长的轻绳相连。木块间的动摩擦因数均为μ,木块与水平面间的动摩擦因数相同,可认为
最大静摩擦力等于滑动摩擦力。现用水平拉力F拉其中一个质量为3m的木块,使四个木块
一起匀速前进。则需要满足的条件是:![]()
| A.木块与水平面间的动摩擦因数最大为 |
| B.木块与水平面间的动摩擦因数最大为0.4μ |
| C.水平拉力F最大为10μmg |
| D.水平拉力F最大为4μmg |
一条足够长的浅色水平传送带自左向右匀速运行。现将一个木炭包无初速地放在传送带的最左端,木炭包在传送带上将会留下一段黑色的径迹。下列说法中正确的是 ![]()
| A.黑色的径迹将出现在木炭包的左侧 |
| B.木炭包的质量越大,径迹的长度越短 |
| C.传送带运动的速度越大,径迹的长度越短 |
| D.木炭包与传送带间动摩擦因数越大,径迹的长度越短 |