如图所示,小车上有一根固定的水平横杆,横杆左端固定的轻杆与竖直方向成θ角,轻杆下端连接一小铁球;横杆右端用一根细线悬挂一小铁球,当小车做匀变速直线运动时,细线保持与竖直方向成α角,若θ<α,则下列说法中正确的是 ( )
| A.轻杆对小球的弹力方向沿着轻杆方向向上 |
| B.轻杆对小球的弹力方向与细线平行向上 |
| C.小车一定以加速度gtgα向右做匀加速运动 |
| D.小车一定以加速度gtgθ向右做匀加速运动 |
如图所示,是某同学站在力板传感器上,做下蹲-起立的动作时记录的力随时间变化的图线,纵坐标为力(单位为牛顿),横坐标为时间。由图线可知,该同学的体重约为650N,除此以外,还可以得到以下信息( )
| A.该同学做了两次下蹲-起立的动作 |
| B.该同学做了一次下蹲-起立的动作,且下蹲后约2s起立 |
| C.下蹲过程中人处于失重状态 |
| D.下蹲过程中先处于超重状态后处于失重状态 |
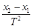
做匀加速直线运动的物体在时间T内通过位移x1到达A点,接着在时间T内又通过位移x2到达B点,则以下判断正确的是( )
| A.物体在A点的速度大小为 |
| B.物体运动的加速度为 |
| C.物体运动的加速度为 |
| D.物体在B点的速度大小为 |
如图,传送带装置保持1m/s的速度水平向右平移,现将一质量为0.5kg的小物体轻轻地放在传送带上的a点,设物体与传送带间的动摩擦因数为0.1,a、b间的距离为2.5m,则物体从a点运动到b点所用的时间为( ) ![]()
| A.s | B.(–1)s | C.3s | D.2.5s |
翼型降落伞有很好的飞行性能。它有点象是飞机的机翼,跳伞运动员可方便地控制转弯等动作。其原理是通过对降落伞的调节,使空气升力和空气摩擦力都受到影响。已知:空气升力F1与飞行方向垂直,大小与速度的平方成正比,F1=C1v2;空气摩擦力F2与飞行方向相反,大小与速度的平方成正比,F2=C2v2。其中C1、C2相互影响,可由运动员调节,满足如图b所示的关系。图a中画出了运动员携带翼型伞跳伞后的两条大致运动轨迹。运动员和装备的总质量约为70kg。其中①轨迹与地面近似成450,②轨迹与地面垂直。则下列判断正确的是 ![]()
| A.①轨迹是不可能的 | B.②轨迹是不可能的。 |
| C.运动员匀速飞行的速度v约为10.6 m/s | D.运动员匀速飞行的速度v约为5.3m/s |
如图所示,将质量为m=0.1kg的物体用两个完全一样的竖直弹簧固定在升降机内,当升降机以4m/s2的加速度加速向上运动时,上面弹簧对物体的拉力为0.4N;当升降机和物体都以8m/s2的加速度向上运动时,上面弹簧的拉力为![]()
| A.0.6N | B.0.8N | C.1.0N | D.1.2N |
如图所示,一质量为m的物块恰好沿着倾角为
的斜面匀速下滑。现对物块施加一个竖直向下的恒力F。则物块( )![]()
| A.将减速下滑 |
| B.将加速下滑 |
| C.继续匀速下滑 |
| D.受到的摩擦力增大 |
如图所示,小车上有一根固定的水平横杆,横杆左端固定的轻杆与竖直方向成θ角,轻杆下端连接一小铁球;横杆右端用一根细线悬挂一小铁球,当小车做匀变速直线运动时,细线保持与竖直方向成α角,若θ<α,则下列说法中正确的是 ( )![]()
| A.轻杆对小球的弹力方向沿着轻杆方向向上 |
| B.轻杆对小球的弹力方向与细线平行向上 |
| C.小车一定以加速度gtgα向右做匀加速运动 |
| D.小车一定以加速度gtgθ向右做匀加速运动 |
如图所示,两个质量分别为m1=2kg,m2=3kg的物体置于光滑的水平面上,中间用轻质弹簧秤连接。两个大小分别为F1=30N、F2=20N的水平拉力分别作用在m1、m2上,则( )![]()
| A.弹簧秤的示数是10N |
| B.弹簧秤的示数是50N |
| C.在突然撤去F2的瞬间,m1的加速度不变 |
| D.在突然撤去F2的瞬间,m2的加速度变大 |
某同学在探究力与物体运动关系的实验中,曾尝试用一质量为m1的弹簧测力计拉动质量为m2,的物体向上做匀加速运动,其操作情况如图所示。如果该同学对弹簧测力计施加竖直向上的拉力F,则在向上匀加速运动的过程中,弹簧测力计的读数是( )![]()
| A. | B.F |
| C. | D. |