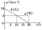
甲、乙两辆汽车在平直的公路上沿同一方向做直线运动,t=0时刻同时经过公路旁的同一个路标.在描述两车运动的v-t图中(如图4所示),直线a、b分别描述了甲、乙两车在0~20秒的运动情况.关于两车之间的位置关系,下列说法正确的是![]()
| A.在0~10秒内两车逐渐靠近 |
| B.在10秒~20秒内两车逐渐远离 |
| C.在5秒~15秒内两车的位移相等 |
| D.在t=10秒时两车在公路上相遇 |
一物体自t=0时开始做直线运动,其速度图线如图所示.下列选项正确的是( )
| A.在0~6 s内,物体离出发点最远为30 m |
| B.在0~6 s内,物体经过的路程为40 m |
| C.在0~4 s内,物体的平均速率为7.5 m/s |
| D.在5 s时,物体的加速度为0. |
一辆汽车从静止开始由甲地出发,沿平直公路开往乙地,汽车先做匀加速直线运动,接着做匀减速直线运动,开到乙地刚好停止,其速度-时间图像如图1-6-11所示,那么0~t0和t0~3t0两段时间内的( )![]()
图1-6-11
| A.加速度大小之比为1∶3 | B.加速度大小之比为3∶1 |
| C.位移大小之比为2∶1 | D.位移大小之比为1∶2 |
图一枚小火箭由地面竖直向上发射时的速度-时间图像如图所示,则火箭上升到最高点的位置对应图中的( )![]()
| A.O点 | B.A点 |
| C.B点 | D.C点 |
如图所示,是几个质点的运动图像,其中是匀变速运动的是( )![]()
图1-5-7
| A.甲、乙、丙 | B.甲、乙、丁 |
| C.甲、丙、丁 | D.乙 |