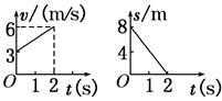
质量为2 kg的质点在x-y平面上做曲线运动,在x方向的速度图象和y方向的位移图象如图所示,下列说法正确的是 ( ) ![]()
| A.质点的初速度为3 m/s |
| B.质点作匀变速曲线运动 |
| C.质点所受的合外力为3 N |
| D.质点初速度的方向与合外力方向垂直 |
物体甲的速度与时间图象和物体乙的位移与时间图象分别如图所示,则这两个物体的运动情况是![]()
| A.甲在整个t=4s时间内有来回运动,它通过的总路程为12m |
| B.甲在整个t=4s时间内运动方向一直不变,通过的总位移大小为6m |
| C.乙在整个t=4s时间内有来回运动,它通过的总路程为12m |
| D.乙在整个t=4s时间内运动方向一直不变,通过的总位移大小为6m |
利用光敏电阻制作的光传感器,记录了传递带上工件的输送情况。如图甲所示为某工厂成品包装车间的光传感记录器,光传感器B能接收到发光元件A发出的光。每当工件挡住A发出的光时,光传感器就输出一个电信号,并在屏幕上显示出电信号与时间的关系,如图乙所示。若传送带始终匀速运动,每两个工件间的距离为0.2 m,则下述说法正确的是:![]()
| A.该传送带每小时输送1800个工件 |
| B.该传送带每小时输送7200个工件 |
| C.传送带运动的速度是0.2 m/s |
| D.传送带运动的速度是0.1 m/s |
如图所示的位移(s)—时间(t)图象和速度(v)—时间(t)图象中给出四条图线,甲、乙、丙、丁代表四辆车由同一地点向同一方向运动的情况,则下列说法正确的是![]()
| A.甲车做匀加速直线运动,乙车做曲线运动 |
| B.0~t1时间内,甲车通过的位移小于乙车通过的位移 |
| C.0~t2时间内,丙、丁两车在t2时刻相距最远 |
| D.t2时刻之后,丙就在丁的前方了 |