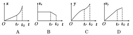
某物体沿直线运动的速度图象如图所示,则物体做( )![]()
| A.来回的往复运动 | B.匀变速直线运动 |
| C.朝某一方向的直线运动 | D.不能确定 |
如图是某物体做直线运动的速度图象,下列有关物体运动情况判断正确的是 ( )![]()
| A.前两秒加速度为5 m/s2 |
| B.4 s末物体回到出发点 |
| C.4s末物体距出发点最远 |
| D.8s末物体距出发点最远 |
如图示,为一物体做直线运动的速度-时间图象,根据图,
分析在0~t1时间内和在t1~t2时间内的速度与加速度,分析
正确的是( )
| A.两段时间内的速度方向相同,加速度方向相反; |
| B.两段时间内的速度方向相同,加速度方向相同; |
| C.两段时间内的速度方向相反,加速度方向相反; |
| D.两段时间内的速度方向相反,加速度方向相同。 |
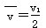
在军事演习中,某空降兵从飞机上跳下,先做自由落体运动,在t1时刻速度达较大值v1时打开降落伞,做减速运动,在t2时刻以较小速度v2着地.他的速度图像如图所示.下列关于该空降兵在0~t2和t1~t2时间内的平均速度
的结论正确的是![]()
| A.0~t1, | B.t1~t2, |
| C.t1~t2, | D.t1~t2, |
甲乙两辆汽车同时从同一地点由静止出发沿同一直线运动,它们的速度图线如图示.下列说法正确的是 ![]()
| A.乙车在0-b时间内始终作匀减速运动 |
| B.乙车在a-b时间内加速度方向不变 |
| C.两辆汽车在a时刻相距最远 |
| D.甲车在c时刻被乙车追上 |
如图所示
,为物体做直线运动的速度图象,根据图作如下分析:( )
| A.0-t1内的速度方向与t1-t2内的速度方向相同,加速度方向相反 |
| B.0-t1内的速度方向与t1-t2内的速度方向相反,加速度方向相同 |
| C.0-t1内的速度方向与t1-t2内的速度方向相反,加速度方向相反 |
| D.0-t |