一个从静止开始作匀加速直线运动的物体,从开始运动起,连续通过三段位移的时间分别是1s、2s、3s,这三段位移的长度之比和这三段位移上的平均速度之比分别是
| A.1:22:32、1:2:3 | B.1:23:33、1:22:32 |
| C.1:2:3、1:1:1 | D.1:3:5、1:2:3 |
关于速度和加速度的关系,下列说法中正确的是
| A.速度变化得越多,加速度就越大 |
| B.速度变化得越快,加速度就越大 |
| C.加速度的方向保持不变,速度方向也保持不变 |
| D.加速度大小不断变小,速度大小也不断变小 |
一个物体从静止开始做匀加速直线运动。它在第一秒内与在第二秒内位移之比为S1 : S2,在走完前1m时与走完前2m时的速度之比为v1 : v2。以下正确的( )
| A.S1:S2 = 1:3, v1:v2 = 1:2 | B.S1:S2 = 1:3, v1:v 2 =" 1:" |
| C.S1:S 2 = 1:4, v1:v 2 = 1:2 | D.S1:S 2 = 1:4, v1:v2 =" 1:" |
.做匀加速直线运动的列车出站时,车头经过站台时的速度为1 m/s,车尾经过站台时的速度为7 m/s,则车身的中部经过站台时的速度为( )
| A.3.5 m/s | B.4.0 m/s |
| C.5 m/s | D.5.5 m/s |
为了测定某轿车在平直路上启动阶段的加速度(轿车启动时的运动可近似看成是匀加速直线运动),某人拍摄一张在同一底片上多次曝光的照片,如图1-6-12所示,如果拍摄时每隔2 s曝光一次,轿车车身总长为4.5 m,那么这辆轿车的加速度为(
)![]()
图1-6-12
| A.1 m/s2 | B.2.25 m/s2 |
| C.3 m/s2 | D.4.25 m/s2 |
一个做初速度为零的匀加速直线运动的物体,它在第1 s末,第2 s末,第3 s末的瞬时速度之比是( )
| A.1∶1∶1 | B.1∶2∶3 |
| C.12∶22∶32 | D.1∶3∶5 |
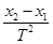
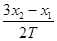
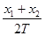
做初速度为零的匀加速直线运动的物体在时间T 内通过位移x1到达A点,接着在时间T 内又通过位移x2到达B点,则以下判断正确的是( )
| A.物体在A点的速度大小为 |
| B.物体运动的加速度为 |
| C.物体运动的加速度为 |
| D.物体在B点的速度大小为 |
从静止开始作匀加速直线运动的物体,第一个2 s内、 第二个2 s内和第5 s内三段位移之比为( )
| A.2 : 6 : 5 | B. 2 : 8 : 7 |
| C.4 : 12 : 9 | D.2 : 2 : 1 |
一物体从静止开始做匀加速直线运动,以T为时间间隔,在第3个T内的位移为3m,在第3个T终了时的瞬时速度是3m/s。则
| A.物体的加速度为1m/s2 | B.物体在第1个T终了时的瞬时速度是0.6m/s |
| C.时间间隔T=1s | D.物体在第1个T内的位移为0.6m |