用下列器材组装成一个电路,既能测量出电池组的电动势E和内阻r,又能同时描绘小灯泡的伏安特性曲线。
A. 电压表(量程为6V、内阻很大)
B. 电压表(量程为3V、内阻很大)
C. 电流表(量程为3A、内阻很小)
D. 滑动变阻器R(最大阻值为10Ω、额定电流为4A)
E. 小灯泡(2A、5W)
F. 电池组(电动势为E、内阻为r)
G. 开关一只,导线若干
实验时,调节滑动变阻器的阻值,多次测量后发现:若电压表的示数增大,则电压表的示数减小。
(1)请将设计的实验电路图在图甲所示的虚线方框中补充完整。
(2)在每一次操作的过程中,同时记录电流表、电压表和电压表的示数,组成两个坐标点(I1,U1)、(I2,U2),标到U—I坐标系中,经过多次测量,最后描绘出两条图线,如图乙所示,则该电池组的电动势E=_________V、内阻r=_________Ω。
(3)在U—I坐标系中两条图线在P点相交,此时滑动变阻器连入电路的阻值应为_________Ω。
某物理研究性学习小组在探究活动中测量滑块与木块之间的动摩擦因数,实验装置如图所示,一表面粗糙的木板固定在水平桌面上,一端装有定滑轮;木板上有一滑块,其一端与电磁打点计时器的纸带相连,另一端通过跨过定滑轮的细线与托盘连接,打点计时器使用的交流电源的频率为50Hz,实验时,在托盘中放入适量砝码,滑块做匀加速直线运动,在纸带上打出一系列小点。
(1)为测量动摩擦因数,除通过纸带得出物体运动的加速度a外,下列物理量中还应测量的有___________。(填入所选物理量前的字母)
A. 木板的长度L B. 木板的质量m1
C. 滑块的质量m2 D. 托盘和砝码的总质量m3
(2)滑块与木板间的动摩擦因数μ=_____________(用被测物理量的字母表示,重力加速度为g)。与真实值相比,测量的动摩擦因数___________(填“偏大”或“偏小”)。
均匀导线制成的正方形闭合线框abcd,线框的匝数为n、边长为L、总电阻为R、总质量为m,将其置于磁感应强度为B的水平匀强磁场上方某高度处,如图所示,释放线框,让线框由静止自由下落,线框平面保持与磁场垂直,cd边始终与水平的磁场边界平行,已知cd边刚进入磁场时,线框加速度大小恰好为,重力加速度为g,则线框cd边离磁场边界的高度h可能为
A. B. C. D.
如图所示,长为L的绝缘轻杆两端分别固定带电小球A和B,轻杆处于水平向右的匀强电场中,不考虑两球之间的相互作用,初始时轻杆与电场线垂直(如图中的实线位置),现将杆向右平移的同时顺时针转过90°,使A球沿电场方向移动距离L(如图中的虚线位置),发现A、B两球的电势能之和不变,根据图中给出的位置关系,可判断下列说法中正确的是
A. A球一定带正电荷,B球一定带负电荷
B. A球的电势能一定增加
C. A、B两球所带电荷量的绝对值之比
D. 电场力对A球和B球都不做功
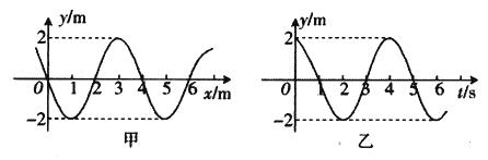
一列简谐横波沿x轴负方向传播,图甲是t=1s时的波形图,图乙是该列波中某振动质点的振动图象,则该波的传播速度v和图甲中x=5m处的质点在振动过程中的位移随时间变化的关系式分别为
A.
B.
C.
D.
如图所示,理想变压器的原线圈接到交流电源上,副线圈接有灯泡L,电路中分别接了理想交流电压表、和理想交流电流表、,导线电阻不计,当仅将副线圈匝数加倍,不考虑灯丝电阻的变化时,下列说法正确的是
A. 示数不变,与示数的比值减半
B. 示数不变,与示数的比值不变
C. 示数加倍,与示数的比值不变
D. 示数加倍,与示数的比值加倍
如图所示,一细束复色光通过三棱镜折射后分为四种单色光a、b、c、d,由图可知此四种单色光中波长最长的是
A. a B. b C. c D. d
“嫦娥二号”原本是“嫦娥一号”的备份卫星,因此两颗卫星在外形和质量上并没有太大差别。不过“嫦娥二号”的绕月飞行轨道高度将由“嫦娥一号”时的200公里降低到100公里,这样就能把月球看得更清楚,它们绕月球运行的示意图如图所示(轨道视为圆周),则下列有关探月卫星的说法正确的是
A. “嫦娥二号”卫星绕月球运行的速度小于“嫦娥一号”卫星绕月球运行的速度
B. “嫦娥二号”卫星在图示轨道上运行时的加速度大于月球表面的重力加速度
C. “嫦娥二号”卫星所在轨道的重力加速度比“嫦娥一号”所在轨道的重力加速度大
D. “嫦娥一号”卫星在绕月轨道上经过加速变轨可到达“嫦娥二号”的绕月轨道
据新华社报道,由我国自行设计、研制的世界第一套全超导核聚变实验装置(又称“人造太阳”)已完成了首次工程调试,其中“人造太阳”的核反应方程式是+X,已知的质量为m1,的质量为m2,的质量为m3,X的质量为m4,真空中的光速为c,则X和在此核反应过程中释放的核能分别为
以下说法正确的是
A. 一定质量的理想气体,内能只由温度决定
B. 物体吸收了热量,其温度一定升高
C. 温度高的物体,其内能一定大
D. 热量能够自发地从高温物体传到低温物体