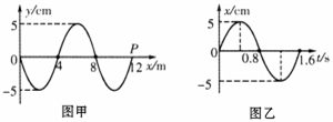
一列简谐波在t=0.8s时的图象如图甲所示,其x=0处质点的振动图象如图乙所示,由图象可知:简谐波沿x轴 ▲ 方向传播(填“正”或“负”),波速为 ▲ m/s,t=10.0s时刻,x=4m处质点的位移是 ▲ m.
如图所示,导热材料制成的截面积相等,长度均为45cm的气缸A、B通过带有阀门的管道连接.初始时阀门关闭,厚度不计的光滑活塞C位于B内左侧,在A内充满压强的理想气体,B内充满压强的理想气体,忽略连接气缸的管道体积,室温不变.现打开阀门,求:
①平衡后活塞向右移动的距离和B中气体的压强
②自打开阀门到平衡,B内气体是吸热还是放热(简要说明理由).
下列说法中正确的是 ▲
A.温度越高,每个分子的速率一定越大
B.雨水没有透过布雨伞是因为液体表面存在张力
C.布朗运动是指在显微镜下观察到的液体分子的无规则运动
D.单晶体的某些物理性质是各向异性的,多晶体的物理性质是各向同性的
如图所示,半径为R的光滑半圆轨道ABC与倾角为=37°的粗糙斜面轨道DC相切于C,圆轨道的直径AC与斜面垂直.质量为m的小球从A点左上方距A高为h的斜面上方P点以某一速度水平抛出,刚好与半圆轨道的A点相切进入半圆轨道内侧,之后经半圆轨道沿斜面刚好滑到与抛出点等高的D处.已知当地的重力加速度为g,取,,,不计空气阻力,求:
(1)小球被抛出时的速度v0;
(2)小球到达半圆轨道最低点B时,对轨道的压力大小;
(3)小球从C到D过程中摩擦力做的功W.
如图所示,在xOy坐标系中,x轴上N点到O点的距离是12cm,虚线NP与x轴负向的夹角是30°.第Ⅰ象限内NP的上方有匀强磁场,磁感应强度B=1T,第IV象限有匀强电场,方向沿y轴正向.一质量m=8×10-10kg.电荷量q=1×10-4C带正电粒子,从电场中M(12,-8)点由静止释放,经电场加速后从N点进入磁场,又从y轴上P点穿出磁场.不计粒子重力,取=3,求:
(1)粒子在磁场中运动的速度v;
(2)粒子在磁场中运动的时间t;
(3)匀强电场的电场强度E.
质量M=9kg、长L=1m的木板在动摩擦因数=0.1的水平地面上向右滑行,当速度时,在木板的右端轻放一质量m=1kg的小物块如图所示.当小物块刚好滑到木板左端时,物块和木板达到共同速度.取g=10m/s2,求:
(1)从木块放到木板上到它们达到相同速度所用的时间t;
(2)小物块与木板间的动摩擦因数.
某同学用图甲所示的电路探究电学元件的U-I关系,得到的数据描在图乙所示的坐标纸上.
(1)观察图乙所描数据点的分布情况,画出电学元件的U-I曲线;
(2)当电压表示数U=2.OV时,元件的电功率值为 ▲ W(保留2位有效数字),此值与元件的实际功率值相比 ▲ (填“偏大”、“偏小”或“相等”);
(3)如果把这个电学元件直接接在一个电动势为1.5V、内阻为2.O的电池两端,则电学元件两端的电压是 ▲ V.
利用图示装置可以做力学中的许多实验.
(1)以下说法正确的是 ▲ .
A.利用此装置“研究匀变速直线运动” 时,必须设法消除小车和木板间的摩擦阻力的影响
B.利用此装置探究 “小车的加速度与质量的关系”并用图象法处理数据时,如果画出的a-M关系图象不是直线,就可确定加速度与质量成反比
C.利用此装置探究“功与速度变化的关系”实验时,应将木板带打点计时器的一端适当垫高,这样做的目的是利用小车重力沿斜面分力补偿小车运动中所受阻力的影响
(2)小华在利用此装置“探究加速度a与力F的关系”时,因为不断增加所挂钩码的个数,导致钧码的质量远远大于小车的质量,则小车加速度a的值随钧码个数的增加将趋近于 ▲ 的值.
用欧姆表测电阻时,将选择开关置于合适的挡位后,必须先将两表笔短接,调整 ▲ 旋钮,使指针指在欧姆刻度的“0”处.若选择旋钮在“×100”位置,指针在刻度盘上停留的位置如图所示,所测量电阻的值为 ▲ .
如图所示,间距l=0.4m的光滑平行金属导轨与水平面夹角=30°,正方形区域abcd内匀强磁场的磁感应强度B=0.2T,方向垂直于斜面.甲乙两金属杆电阻R相同、质量均为m=0.02kg,垂直于导轨放置.起初,甲金属杆处在磁场的上边界ab上,乙在甲上方距甲也为l处.现将两金属杆同时由静止释放,并同时在甲金属杆上施加一个沿着导轨的拉力F,使甲金属杆始终以a=5m/s2的加速度沿导轨匀加速运动,已知乙金属杆刚进入磁场时做匀速运动,取g=10m/s2,则
A.每根金属杆的电阻 R=0.016
B.甲金属杆在磁场中运动的时间是0.4s
C.甲金属杆在磁场中运动过程中F的功率逐渐增大
D.乙金属杆在磁场中运动过程中安培力的功率是0.1W