题目内容
马拉着质量为60kg的雪橇,从静止开始用80s的时间沿平直冰面跑完1.0km.设雪橇在运动过程中受到的阻力保持不变,并且他在开始运动的8.0s时间内做匀加速直线运动,从第8.0s末开始,马拉雪橇做功的功率值保持不变,继续做直线运动,最后一段时间雪橇做的是匀速运动,速度大小为15m/s.求在这80s的运动过程中马拉雪橇做功的平均功率,以及雪橇在运动过程中所受阻力的大小.
【答案】分析:(1)平均功率等于牵引力做的总功除以总时间;
(2)根据动能定理即可求解.
解答:解:设雪橇以v=15m/s的速度匀速运动时拉力的功率为P.在最初的t1=8s时间内做匀加速直线运动,拉力大小恒定,速度从0均匀增加,拉力的功率也从0均匀增大至P,所以在这t1=8s时间内拉力的平均功率为
,此后的功率都是P.
设t1=8s时间内拉力的平均功率为
,则
解得:P=
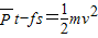
设雪橇在运动过程中受到的阻力大小为f,根据动能定理有:

因为雪橇匀速运动过程中,拉力F等于阻力f,即F=f
所以P=Fv=fv
解得:
,f=48.2N.
答:在这80s的运动过程中马拉雪橇做功的平均功率为687W,雪橇在运动过程中所受阻力的大小为48.2N.
点评:了解研究对象的运动过程是解决问题的前提,根据题目已知条件和求解的物理量选择物理规律解决问题.很多物理规律的应用有它的适用条件,要注意条件能不能达到.做题目可以去尝试运用某一物理规律,如果不能解决再换用其他的,做完可以去总结.
(2)根据动能定理即可求解.
解答:解:设雪橇以v=15m/s的速度匀速运动时拉力的功率为P.在最初的t1=8s时间内做匀加速直线运动,拉力大小恒定,速度从0均匀增加,拉力的功率也从0均匀增大至P,所以在这t1=8s时间内拉力的平均功率为
设t1=8s时间内拉力的平均功率为
解得:P=
设雪橇在运动过程中受到的阻力大小为f,根据动能定理有:
因为雪橇匀速运动过程中,拉力F等于阻力f,即F=f
所以P=Fv=fv
解得:
答:在这80s的运动过程中马拉雪橇做功的平均功率为687W,雪橇在运动过程中所受阻力的大小为48.2N.
点评:了解研究对象的运动过程是解决问题的前提,根据题目已知条件和求解的物理量选择物理规律解决问题.很多物理规律的应用有它的适用条件,要注意条件能不能达到.做题目可以去尝试运用某一物理规律,如果不能解决再换用其他的,做完可以去总结.
练习册系列答案
相关题目