题目内容
汽车在平直公路上行驶,在它的速度从零增加到v的过程中,汽车发动机做的功为W1;在它的速度从v增加到2v的过程中,汽车发动机做的功为W2.设汽车在行驶中发动机的牵引力和所受的阻力都不变,则有( )A.W2=2W1
B.W2=3W1
C.W2=4W1
D.仅能判断W2>W1
【答案】分析:汽车在行驶中发动机的牵引力和所受的阻力都不变,知汽车做匀加速直线运动,根据运动学公式求出位移比,从而根据W=Fs求出发动机所做功之比.
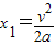
解答:解:速度从零增加到v的过程中的位移
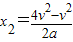
,速度从v增加到2v的过程中的位移
=
.则位移之比为1:3,根据W=Fs知,汽车发动机做功比为1:3,即W2=3W1.故B正确,A、C、D错误.
故选B.
点评:解决本题的关键知道汽车做匀加速直线运动,求出位移比,牵引力恒定,根据W=Fs即可求出发动机做功之比.
解答:解:速度从零增加到v的过程中的位移
故选B.
点评:解决本题的关键知道汽车做匀加速直线运动,求出位移比,牵引力恒定,根据W=Fs即可求出发动机做功之比.
练习册系列答案
相关题目
汽车在平直公路上行驶,它受到的阻力大小不变,若发动机的功率保持恒定,汽车在加速行驶过程中( )
| A、牵引力逐渐增大,加速度逐渐减小 | B、牵引力逐渐减小,加速度逐渐增大 | C、牵引力所做的功等于汽车动能的增加 | D、牵引力和阻力所做的总功等于汽车动能的增加 |