题目内容

某电铃正常工作时的电压是6V,电阻是10,现手边有一电压是15V的电源,要使电铃正常工作应将这个电铃与_________欧的电阻______联后接到这个电源上

 

【答案】

15,串

【解析】

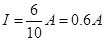
试题分析:要使电铃两端的电压为6V,需要串联一个电阻分压,该电阻分担的电压为9V,因为电铃和电阻串联,所以通过两者的电流相等,根据欧姆定律可得,所以

思路拓展:对于串联电阻,具有分压作用,这个原理在改装电压表时曾用到

考点:本题考查了电路串联电阻分压的特点,

 

练习册系列答案
相关题目

违法和不良信息举报电话:027-86699610 举报邮箱:58377363@163.com

精英家教网