题目内容
如图为用拉力传感器和速度传感器探究“加速度与物体受力的关系”实验装置.用拉力传感器记录小车受到拉力的大小,在长木板上相距L=48.0cm的A、B两点各安装一个速度传感器,分别记录小车到达A、B时的速率.(1)实验主要步骤如下:
①将拉力传感器固定在小车上;
②平衡摩擦力,让小车做______运动;
③把细线的一端固定在拉力传感器上,另一端通过定滑轮与钩码相连;
④接通电源后自C点释放小车,小车在细线拉动下运动,记录细线拉力F的大小及小车分别到达A、B时的速率vA、vB;
⑤改变所挂钩码的数量,重复④的操作.
(2)下表中记录了实验测得的几组数据,两个速度
| v | 2A |
【答案】分析:(1)注意平衡摩擦力的原理,利用重力沿斜面的分力来平衡摩擦力,若物体能匀速运动则说明恰好平衡了摩擦力;
(2)根据运动学公式中速度和位移的关系可以写出正确的表达式;
(3)利用描点法可正确画出图象;
(4)对比实际与理论图象可知,有外力时还没有加速度,由此可得出产生偏差原因.
解答:解:(1)根据平衡状态的特点可知知道当小车做匀速直线运动时,说明摩擦力已经被平衡.
故答案为:匀速直线.
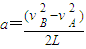
(2)根据匀变速直线运动的位移与速度公式:
可以求出:
,带入数据解得:a=2.44m/s2.
故答案为:
,2.44.
(3)根据表中数据,得出图象如图所示:

(4)对比图象可知,实际图象没有过原点而是和横坐标有交点,造成原因为没有完全平衡摩擦力或拉力传感器读数偏大.
故答案为:没有完全平衡摩擦力或拉力传感器读数偏大.
点评:明确实验原理,正确进行误差分析和数据处理是对学生学习实验的基本要求,要加强这方面的训练.
(2)根据运动学公式中速度和位移的关系可以写出正确的表达式;
(3)利用描点法可正确画出图象;
(4)对比实际与理论图象可知,有外力时还没有加速度,由此可得出产生偏差原因.
解答:解:(1)根据平衡状态的特点可知知道当小车做匀速直线运动时,说明摩擦力已经被平衡.
故答案为:匀速直线.
(2)根据匀变速直线运动的位移与速度公式:
故答案为:
(3)根据表中数据,得出图象如图所示:
(4)对比图象可知,实际图象没有过原点而是和横坐标有交点,造成原因为没有完全平衡摩擦力或拉力传感器读数偏大.
故答案为:没有完全平衡摩擦力或拉力传感器读数偏大.
点评:明确实验原理,正确进行误差分析和数据处理是对学生学习实验的基本要求,要加强这方面的训练.
练习册系列答案
相关题目