题目内容

如图所示,用一块金属板折成横截面为“”形的金属槽放置在磁感应强度为B的匀强磁场中,并以速度v1向右匀速运动,从槽口右侧射入的带电微粒的速度是v2,如果微粒进入槽后恰能做匀速圆周运动,则微粒做匀速圆周运动的轨道半径r和周期T分别为

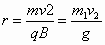
A.

B.

C.

D.

答案:B
解析:

金属板折成“”形的金属槽放在磁感应强度为B的匀强磁场中,并以速度v1向右匀速运动时,左板将切割磁感线,上、下两板间产生电势差,由右手定则可知上板为正,下板为负,,微粒做匀速圆周运动,则重力等于电场力,方向相反,故有向心力由洛伦兹力提供,所以,周期,故B项正确.


练习册系列答案
相关题目

违法和不良信息举报电话:027-86699610 举报邮箱:58377363@163.com

精英家教网