题目内容

(18分)如图所示,长为L的不可伸长的绳子一端固定在O点,另一端系质量为m的小球,小球静止在光滑水平面上。现用大小为F水平恒力作用在另一质量为2m的物块上,使其从静止开始向右运动,一段时间后撤去该力,物块与小球发生正碰后速度大小变为原来的一半而速度方向不变,小球恰好能在竖直平面内做圆周运动。已知重力加速度为g,小球和物体均可视为质点,试求:

(1)小物块碰撞前速度V0的大小;

(2)碰撞过程中系统损失的机械能;

(3)恒力F作用时间。

 

【答案】

(1)  (2) (3)

【解析】

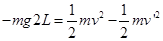
试题分析:(1) 小球恰好能在竖直平面内做圆周运动,即通过最高点对轨道压力为0,此时设最高点速度为V,有,得出

小球从最低点摆到最高点过程,根据动能定理有解得小球最低点即碰后的速度

小物块和小球碰撞过程中,动量守恒定律 有

解得

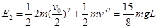
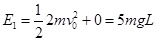
(2)二者碰撞前的系统总动能为

碰撞后的动能为

碰撞前后只有动能发生了变化,因此损失的机械能

(3)物块在光滑的水平桌面上,有拉力F作用时做匀加速运动,加速度

力F撤去后在光滑的水平面做匀速运动,设加速时间为t则有

考点:动能定理 圆周运动  动量守恒定律

 

练习册系列答案
相关题目

违法和不良信息举报电话:027-86699610 举报邮箱:58377363@163.com

精英家教网