题目内容

人造地球卫星做半径为r、线速度大小为v的匀速圆周运动。当其角速度变为原来的倍后,运动轨道半径为_________,线速度大小为_________。

 

【答案】

2r 

【解析】

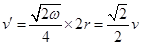
试题分析:根据整理得: ;

;则

考点:考查了人造卫星问题

点评:解决本题的关键掌握根据万有引力提供向心力

 

练习册系列答案
相关题目

违法和不良信息举报电话:027-86699610 举报邮箱:58377363@163.com

精英家教网