题目内容
如图,厚度为D的玻璃砖与水平实验桌成45°角放置.红色激光束平行于水平桌面射到玻璃砖的表面,在桌面上得到两个较亮的光点A、B,测得AB间的距离为L.求玻璃砖对该红色激光的折射率.
【答案】分析:根据几何关系,结合折射定律求出玻璃砖对该红色激光的折射率.
解答:解:由折射定律有:
=n
直角三角形MNR中sinγ=
MN=
在直角三角形PQN中PN=
L
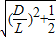
解得n=
.
答:玻璃砖对该红色激光的折射率为
.
点评:本题考查光的折射定律,对数学几何的能力要求较高,需加强这类题型的训练.
解答:解:由折射定律有:
直角三角形MNR中sinγ=
在直角三角形PQN中PN=
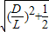
解得n=
答:玻璃砖对该红色激光的折射率为
点评:本题考查光的折射定律,对数学几何的能力要求较高,需加强这类题型的训练.
练习册系列答案
相关题目