题目内容

内壁光滑的绝热汽缸, 中间置有密封可自由滑动的活塞, 活塞两侧各密封着氮气和氦气. 当室温27℃时, 活塞恰在中央. 如果氮气温度升为87℃, 氦气温度不变, 则氮气和氦气体积之比为________.(用分数表示)
答案:5/6
解析:

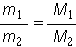
解: 设氮气质量为m1, 摩尔质量M1, 氦气质量为m2, 摩尔质量为M2. 据克拉珀龙方程可知两种不同种类的气体等温、等压、等容时质量比等于摩尔质量比, 即

              ①

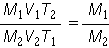
    氮升温后, 两侧气体等压时平衡, 所以

          ②

    由①、②得

    所以  


练习册系列答案
相关题目

违法和不良信息举报电话:027-86699610 举报邮箱:58377363@163.com

精英家教网