题目内容
质量为m=1kg的小物块轻轻放在水平匀速运动的传送带上的P点,随传送带运动到A点后水平抛出,小物块恰好无碰撞的沿圆弧切线从B点进入竖直光滑圆孤轨道下滑.B、C为圆弧的两端点,其连线水平,斜面与圆弧轨道在C点相切连接(小物块经过C点时机械能损失不计).已知圆弧半径R=1.0m,圆弧对应圆心角θ=106°,轨道最低点为O,A点距水平面的高度h=0.8m.设小物块首次经过C点时为零时刻,在t=0.8s时刻小物块经过D点,小物块与斜面间的滑动摩擦因数为(1)小物块离开A点的水平初速度vA大小;
(2)小物块经过O点时对轨道的压力;
(3)斜面上CD间的距离.
【答案】分析:(1)小球离开A点做平抛运动,根据竖直方向做自由落体运动,求出竖直方向上的分速度,根据速度与水平方向上的夹角,求出小物块离开A点的水平初速度vA大小.
(2)根据平行四边形定则求出B点的速度,再根据动能定理求出O点的速度,最后根据牛顿第二定律求出支持力的大小,从而由牛顿第三定律求出小物块对O点时的压力.
(3)根据牛顿第二定律求出物块上滑的加速度大小,求出物块上滑到最高点的时间,再根据牛顿第二定律求出物块下滑的加速度,根据运动学公式求出下滑的位移,从而得出斜面上CD间的距离.
解答:解:(1)对小物块,由A到B有
在B点
所以vA=3m/s
(2)对小物块,由B到O有
m/s
在O点
所以 N=43N
由牛顿第三定律知对轨道的压力为 N'=43N
(3)物块沿斜面上滑:mgsin53°+μ1mgcos53°=ma1
a1=10m/s2
物块沿斜面下滑:mgsin53°-μ1mgcos53°=ma2
a2=6 m/s2
由机械能守恒知vC=vB=5m/s
小物块由C上升到最高点历时
s
小物块由最高点回到D点历时t2=0.8-0.5=0.3s
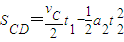
故
=0.98 m
答:(1)小物块离开A点的水平初速度vA大小为3m/s.
(2)小物块经过O点时对轨道的压力为43N.
(3)斜面上CD间的距离为0.98m.
点评:本题是多过程问题,综合运用了动能定理、牛顿第二定律,关键理清运动过程,选择合适的规律进行求解.
(2)根据平行四边形定则求出B点的速度,再根据动能定理求出O点的速度,最后根据牛顿第二定律求出支持力的大小,从而由牛顿第三定律求出小物块对O点时的压力.
(3)根据牛顿第二定律求出物块上滑的加速度大小,求出物块上滑到最高点的时间,再根据牛顿第二定律求出物块下滑的加速度,根据运动学公式求出下滑的位移,从而得出斜面上CD间的距离.
解答:解:(1)对小物块,由A到B有
在B点
所以vA=3m/s
(2)对小物块,由B到O有
在O点
所以 N=43N
由牛顿第三定律知对轨道的压力为 N'=43N
(3)物块沿斜面上滑:mgsin53°+μ1mgcos53°=ma1
a1=10m/s2
物块沿斜面下滑:mgsin53°-μ1mgcos53°=ma2
a2=6 m/s2
由机械能守恒知vC=vB=5m/s
小物块由C上升到最高点历时
小物块由最高点回到D点历时t2=0.8-0.5=0.3s
故
答:(1)小物块离开A点的水平初速度vA大小为3m/s.
(2)小物块经过O点时对轨道的压力为43N.
(3)斜面上CD间的距离为0.98m.
点评:本题是多过程问题,综合运用了动能定理、牛顿第二定律,关键理清运动过程,选择合适的规律进行求解.
练习册系列答案
相关题目