ÌâÄ¿ÄÚÈÝ
Èçͼ£¬¼×ͼÊÇ»ØÐý¼ÓËÙÆ÷µÄÔÀíʾÒâͼ¡£ÆäºËÐIJ¿·ÖÊÇÁ½¸öDÐͽðÊôºÐ£¬ÔÚ¼ÓËÙ´øµçÁ£×Óʱ£¬Á½½ðÊôºÐÖÃÓÚÔÈÇ¿´Å³¡ÖУ¨´Å¸ÐӦǿ¶È´óСºã¶¨£©£¬²¢·Ö±ðÓë¸ßƵµçÔ´ÏàÁ¬¡£¼ÓËÙʱij´øµçÁ£×ӵ͝ÄÜEKËæÊ±¼ät±ä»¯¹æÂÉÈçÒÒͼËùʾ£¬ÈôºöÂÔ´øµçÁ£×ÓÔڵ糡ÖеļÓËÙʱ¼ä£¬ÔòÏÂÁÐÅжÏÕýÈ·µÄÊÇ ( )
![]()
A.¸ßƵµçÔ´µÄ±ä»¯ÖÜÆÚÓ¦¸ÃµÈÓÚtn£tn-2
B.ÔÚEK-tͼÏóÖÐt4£t3£½t3£t2£½t2£t1
C.Á£×Ó¼ÓËÙ´ÎÊýÔ½¶à£¬Á£×Ó»ñµÃµÄ×î´ó¶¯ÄÜÒ»¶¨Ô½´ó
D.²»Í¬Á£×Ó»ñµÃµÄ×î´ó¶¯Äܶ¼Ïàͬ
AB
¡¾½âÎö¡¿
ÊÔÌâ·ÖÎö£ºÓÉ»ØÐý¼ÓËÙÆ÷ÔÀíÖª£¬¸ßƵµçÔ´µÄ±ä»¯ÖÜÆÚµÈÓÚÁ£×ÓÔÚ»ØÐý¼ÓËÙÆ÷ÖÐÖÜÆÚ£¬´øµãÁ£×ÓÔÚ¸ßÆµµçÔ´±ä»¯µÄÒ»¸öÖÜÆÚÖмÓËÙÁ½´Î£¬ÓÉEK-tͼ֪£¬¶¯ÄܸıäÁ½´ÎÖÜÆÚΪtn£tn-2£¬¹ÊAÕýÈ·£»£¨t4£t3£©¡¢£¨t3£t2£©¡¢£¨t2£t1£©ÎªÁ£×Óת¶¯ÖÜÆÚµÄÒ»°ë£¬Óɹ«Ê½T=
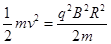
ÖªÁ£×ÓÖÜÆÚ²»±ä£¬ËùÒÔ£¬ t4-t3=t3-t2=t2-t1£¬BÕýÈ·£»ÉèDÐͺа뾶ΪR£¬¶¯ÄÜ×î´óÁ£×Óת¶¯°ë¾¶ÎªR£¬Óɰ뾶¹«Ê½ÖªR=
£¬ËùÒÔ×î´ó¶¯ÄÜΪEKm=
£¬Óë¼ÓËÙ´ÎÊýÎ޹أ¬ÓëÁ£×ӱȺÉÓйأ¬¹ÊC¡¢D´íÎó¡£
¿¼µã£º»ØÐý¼ÓËÙÆ÷ÔÀí
| A¡¢ÔÚEk-tͼÖÐÓ¦ÓÐt4-t3=t3-t2=t2-t1 | ||
| B¡¢¸ßƵµçÔ´µÄ±ä»¯ÖÜÆÚÓ¦¸ÃµÈÓÚtn-tn-1 | ||
C¡¢µ±µçÔ´µçѹ¼õСΪ
| ||
| D¡¢Á£×ÓÔÚDÐκÐÖÐÿһ´Î¼ÓËÙËٶȵÄÔöÁ¿´óСÏàµÈ |
Èçͼ¼×ËùʾÊÇ»ØÐý¼ÓËÙÆ÷µÄʾÒâͼ£¬ÆäºËÐIJ¿·ÖÊÇÁ½¸öDÐνðÊôºÐ£¬ÔÚ¼ÓËÙ´øµçÁ£×Óʱ£¬Á½½ðÊôºÐÖÃÓÚÔÈÇ¿´Å³¡ÖУ¬²¢·Ö±ðÓë¸ßƵµçÔ´ÏàÁ¬£®´øµçÁ£×ÓÔڴų¡ÖÐÔ˶¯µÄ¶¯ÄÜEkËæÊ±¼ätµÄ±ä»¯¹æÂÉÈçͼÒÒËùʾ£¬ÈôºöÂÔ´øµçÁ£×ÓÔڵ糡ÖеļÓËÙʱ¼ä£¬ÔòÏÂÁÐÅжÏÖÐÕýÈ·µÄÊÇ ( )![]()
| A£®ÔÚEk¡ªtͼÖÐÓ¦ÓÐt4Ò»t3£½t3Ò»t2=t2¡ªt1 |
| B£®¸ßƵµçÔ´µÄ±ä»¯ÖÜÆÚÓ¦¸ÃµÈÓÚtnÒ»tn-1 |
| C£®Á£×Ó¼ÓËÙ´ÎÊýÔ½¶à£¬Á£×Ó×î´ó¶¯ÄÜÒ»¶¨Ô½´ó |
| D£®ÒªÏëÁ£×Ó»ñµÃµÄ×î´ó¶¯ÄÜÔ½´ó£¬ÔòÒªÇóDÐκеÄÃæ»ýÒ²Ô½´ó |