ÌâÄ¿ÄÚÈÝ
Èçͼ1Ëùʾµç·ÖУ¬µçÔ´µç¶¯ÊÆE=12V£¬ÄÚ×èr=2¦¸£¬R1=4¦¸£¬R2=6¦¸£¬R3=3¦¸£®£¨1£©ÈôÔÚC¡¢D¼äÁ¬Ò»¸öÀíÏëµçѹ±í£¬Æä¶ÁÊýÊǶàÉÙ£¿
£¨2£©ÈôÔÚC¡¢D¼äÁ¬Ò»¸öÀíÏëµçÁ÷±í£¬Æä¶ÁÊýÊǶàÉÙ£¿
£¨3£©Í¼1ÖÐÐéÏß¿òÄڵĵ緿ɵÈЧΪһ¸öµçÔ´£¬¼´Í¼1¿ÉµÈЧΪͼ2£¬ÆäµÈЧµç¶¯ÊÆE¡äµÈÓÚCD¼äδ½ÓÈëÓõçÆ÷ʱCD¼äµÄµçѹ£»ÈôÓõ¼ÏßÖ±½Ó½«CDÁ½µãÁ¬½ÓÆðÀ´£¬Í¨¹ý¸Ãµ¼ÏߵĵçÁ÷µÈÓÚµÈЧµçÔ´µÄ¶Ì·µçÁ÷£¬ÔòµÈЧµçÔ´µÄÄÚµç×èr¡äÊǶàÉÙ£¿
£¨4£©ÈôÔÚC¡¢D¼äÁ¬Ò»¸ö¡°6V£¬3W¡±µÄСµÆÅÝ£¬ÔòСµÆÅݵÄʵ¼Ê¹¦ÂÊÊǶàÉÙ£¿
¡¾´ð°¸¡¿·ÖÎö£º¸ù¾Ý±ÕºÏµç·ŷķ¶¨ÂÉ£¬ÓÉE¡¢r¡¢R1¡¢R2¡¢R3£¬¿ÉÇó³öÁ½µç±íµÄ¶ÁÊý£»¸ù¾ÝµÈЧµçÔ´µÄµÈЧµç¶¯ÊƺͶÌ·µçÁ÷£¬ÄÜÇó³öµÈЧÄÚ×裻
½â´ð£º½â£º£¨1£©ÈôÔÚC¡¢D¼äÁ¬Ò»¸öÀíÏëµçѹ±í£¬¸ù¾Ý±ÕºÏµç·ŷķ¶¨ÂÉ£¬
ÓÐ
ÀíÏëµçѹ±í¶ÁÊýΪUV=I1R2=6V
£¨2£©ÈôÔÚC¡¢D¼äÁ¬Ò»¸öÀíÏëµçÁ÷±í£¬Õâʱµç×èR2ÓëR3²¢Áª£¬
²¢Áªµç×è´óС
¸ù¾Ý±ÕºÏµç·ŷķ¶¨ÂÉ£¬ÓÐ
ÀíÏëµçÁ÷±í¶ÁÊýΪ
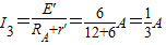
£¨3£©ÒÀÌâÒ⣬¸ÃµÈЧµçÔ´µÄµç¶¯ÊÆE¡ä=6V£¬
¶Ì·µçÁ÷ÓëµÚ£¨2£©ÎÊÖеçÁ÷±í¶ÁÊýÏàͬ£¬¼´ÎªI¡ä=1A£¬
ËùÒÔÆäµÈЧÄÚ×è
£¨4£©Ð¡µÆÅݵĵç×è
½«Ð¡µÆÅÝÁ¬ÔÚC¡¢DÖ®¼ä£¬Ï൱ÓÚ½ÓÔÚµÈЧµçÔ´E¡äÁ½¶Ë£¬
ÔòÁ÷¹ýСµÆÅݵĵçÁ÷´óСΪ
СµÆÅݵÄʵ¼Ê¹¦ÂÊΪ
¹Ê´ð°¸Îª£º6V£¬1A£¬6¦¸£¬1.33W£®
µãÆÀ£ºµÈЧ·¨ÊÇÎïÀí³£ÓõÄÑо¿·½·¨£¬µç·µÄ·ÖÎöºÍ¼ÆËãÒª¶Ôµç·µÄ½á¹¹¡¢µçѹ¡¢µçÁ÷µÈµÄ·ÖÅä·ÖÎöÇå³þ²ÅÄÜÕýÈ·Çó½â£®
½â´ð£º½â£º£¨1£©ÈôÔÚC¡¢D¼äÁ¬Ò»¸öÀíÏëµçѹ±í£¬¸ù¾Ý±ÕºÏµç·ŷķ¶¨ÂÉ£¬
ÓÐ
ÀíÏëµçѹ±í¶ÁÊýΪUV=I1R2=6V
£¨2£©ÈôÔÚC¡¢D¼äÁ¬Ò»¸öÀíÏëµçÁ÷±í£¬Õâʱµç×èR2ÓëR3²¢Áª£¬
²¢Áªµç×è´óС
¸ù¾Ý±ÕºÏµç·ŷķ¶¨ÂÉ£¬ÓÐ
ÀíÏëµçÁ÷±í¶ÁÊýΪ
£¨3£©ÒÀÌâÒ⣬¸ÃµÈЧµçÔ´µÄµç¶¯ÊÆE¡ä=6V£¬
¶Ì·µçÁ÷ÓëµÚ£¨2£©ÎÊÖеçÁ÷±í¶ÁÊýÏàͬ£¬¼´ÎªI¡ä=1A£¬
ËùÒÔÆäµÈЧÄÚ×è
£¨4£©Ð¡µÆÅݵĵç×è
½«Ð¡µÆÅÝÁ¬ÔÚC¡¢DÖ®¼ä£¬Ï൱ÓÚ½ÓÔÚµÈЧµçÔ´E¡äÁ½¶Ë£¬
ÔòÁ÷¹ýСµÆÅݵĵçÁ÷´óСΪ
СµÆÅݵÄʵ¼Ê¹¦ÂÊΪ
¹Ê´ð°¸Îª£º6V£¬1A£¬6¦¸£¬1.33W£®
µãÆÀ£ºµÈЧ·¨ÊÇÎïÀí³£ÓõÄÑо¿·½·¨£¬µç·µÄ·ÖÎöºÍ¼ÆËãÒª¶Ôµç·µÄ½á¹¹¡¢µçѹ¡¢µçÁ÷µÈµÄ·ÖÅä·ÖÎöÇå³þ²ÅÄÜÕýÈ·Çó½â£®
Á·Ï°²áϵÁдð°¸
Ïà¹ØÌâÄ¿