题目内容

一平行板电容器中存在匀强电场,电场沿竖直方向,两个比荷(即粒子的电荷量与质量之比)不同的带正电的粒子ab,从电容器边缘的P点(如图)以相同的水平速度射入两平行板之间.测得ab与电容器的撞击点到入射点之间的水平距离之比为1∶2.若不计重力,则ab的比荷之比是

A.1∶2

B.1∶1

C.2∶1

D.4∶1

答案:D
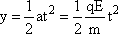
解析:

粒子在电场中做类平抛运动,沿场强方向有,由可得


练习册系列答案
相关题目

违法和不良信息举报电话:027-86699610 举报邮箱:58377363@163.com

精英家教网