题目内容

“神舟”五号载人飞船在绕地球飞行的第5圈进行变轨,由原来的椭圆轨道变为距地面高度h=342 km的圆形轨道.已知地球半径R=6.37×103 km,地面处的重力加速度g取10 m/s2.试导出飞船在上述圆轨道上运行的周期T的公式(用h、R、g表示),然后计算周期的数值(保留两位有效数字).

答案:
解析:

  答案:T= 5.4×103 s

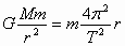
  解析:由,得T=,代入数据得T=5.4×103 s.


练习册系列答案
相关题目

违法和不良信息举报电话:027-86699610 举报邮箱:58377363@163.com

精英家教网