题目内容
如图所示,质量为M、倾角为θ的滑块A放在水平地面上,把质量为m的滑块B放在A的斜面上,忽略一切摩擦,求B相对地面的加速度a.并用以下特殊值进行检验:A.当θ°时,B.当θ=90°时,C.当M≥m时,D.当m≥M时.
【答案】分析:分别对滑块B和A进行受力分析,运用牛顿第二定律分别求出水平方向和竖直方向的加速度,再求合加速度,再分析A、B的运动情况,根据运动学基本公式表示出水平方向和竖直方向的加速度,联立方程即可表示出加速度.
解答:
解:图1为A、B物体受力图,用ax表示物体A的加速度a在水平方向的分量,ay表示物体A的加速度a在竖直方向的分量,aM表示物体B的加速度.根据图2和牛顿定律,有
对B:mg-FNcosθ=may①FNsinθ=max②
对A:FNsinθ=MaM③
④
图2为AB运动情况分析图,即A、B运动关系示意图.用x表示物体A在水平方向的位移,y表示物体A在竖直方向的位移,s表示物体B的位移,
根据图2,有
⑤
并且

⑥
⑥中3个式子代入⑤得,
⑦
根据②③得
⑧
代入⑦式得
⑨
以上两式及②代入①解得
=10 ⑩
⑩代入⑨得出ay,
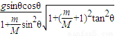
再代入④解得a=
=
(11)
A.当θ°时,该解给出a=0,这符合常识,说明该解可能是对的;
B.当θ=90°时,该解给出a=g,这符合实验结论,说明该解可能是对的;
C.当M≥m时,该解给出a=gsinθ,这符合预期的结果,说明该解可能是对的;
D.当m≥M时,该解给出a=g,这符合预期的结果,说明该解可能是对的.
点评:该题要求同学们能正确分析物体的受力情况和运动情况,较为复杂,对同学们的过程分析和数学计算要求较高,属于中等偏上的题目.
解答:
对B:mg-FNcosθ=may①FNsinθ=max②
对A:FNsinθ=MaM③
图2为AB运动情况分析图,即A、B运动关系示意图.用x表示物体A在水平方向的位移,y表示物体A在竖直方向的位移,s表示物体B的位移,
根据图2,有
并且
⑥中3个式子代入⑤得,
根据②③得
代入⑦式得
以上两式及②代入①解得
⑩代入⑨得出ay,
再代入④解得a=
A.当θ°时,该解给出a=0,这符合常识,说明该解可能是对的;
B.当θ=90°时,该解给出a=g,这符合实验结论,说明该解可能是对的;
C.当M≥m时,该解给出a=gsinθ,这符合预期的结果,说明该解可能是对的;
D.当m≥M时,该解给出a=g,这符合预期的结果,说明该解可能是对的.
点评:该题要求同学们能正确分析物体的受力情况和运动情况,较为复杂,对同学们的过程分析和数学计算要求较高,属于中等偏上的题目.
练习册系列答案
相关题目