题目内容

一辆警车停在公路边值勤,警员突然发现从他旁边以10 m/s的速度匀速行驶的货车严重超载,他决定前去追赶,经过5.5 s后警车发动起来,并以2.5 m/s2的加速度做匀加速运动,但警车的行驶速度必须控制在90 km/h以内.请问:

(1)警车在追赶货车的过程中,两车间的最大距离是多少?

(2)警车发动后要多长时间才能追上货车?

答案:
解析:

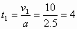
  解:(l)当两车速度相等时,它们间的距离最大(2分)

  设警车发动后经过t1时间两车的速度相等.则:s(1分)

  货车的位移:sv1(t0t1)==10(5.5+4)m=95 m(1分)

  警车的位移s(1分)

  所以两车间的最大距离Δsss=75 m(1分)

  (2)警车刚达到最大速度v=90 km/h=25 m/s的时间:t2s(2分)

  t内两车的位移m

  m

  t时刻两车距离m(1分)

  警车达到最大速度后做匀速运动,设再经过Δt时间追赶上货车.则:(2分)

  所以警车发动后要经过才能追上货车


练习册系列答案
相关题目

违法和不良信息举报电话:027-86699610 举报邮箱:58377363@163.com

精英家教网