题目内容
如图甲所示,在一个正方形金属线圈区域内,存在着磁感应强度B随时间变化的匀强磁场,磁场的方向与线圈平面垂直.金属线圈所围的面积S=200cm2,匝数n=1000,线圈电阻r=1.0Ω.线圈与电阻R构成闭合回路,电阻R=4.0Ω.匀强磁场的磁感应强度随时间变化的情况如图乙所示,求:(1)在t=2.0s时刻,通过电阻R的感应电流的大小;
(2)在t=2.0s时刻,电阻R消耗的电功率;
(3)0~6.0s内整个闭合电路中产生的热量.
【答案】分析:(1)由图读出磁通量的变化率,根据法拉第电磁感应定律求出感应电动势,由欧姆定律求解感应电流的大小.
(2)由P=I2R求出电阻R消耗的电功率.
(3)根据焦耳定律分别求出0~4.0s时间内和4.0s~6.0s时间内的热量,再求总和.
解答:解:(1)根据法拉第电磁感应定律,0~4.0s时间内线圈中磁通量均匀变化,产生恒定的感应电流.
t1=2.0s时的感应电动势
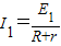
根据闭合电路欧姆定律,闭合回路中的感应电流
解得 I1=0.2A
(2)在t=2.0s时刻,电阻R消耗的电功率P=I12R=0.16W.
(3)根据焦耳定律,0~4.0s内闭合电路中产生的热量
Q1=I12(r+R)△t1=0.8 J
由图象可知,在4.0s~6.0s时间内,线圈中产生的感应电动势
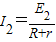
根据闭合电路欧姆定律,t2=5.0s时闭合回路中的感应电流
=0.8A
闭合电路中产生的热量 Q2=I22(r+R)△t2=6.4J
故0~6.0s内整个闭合电路中产生的热量Q=Q1+Q2=7.2J.
答:(1)在t=2.0s时刻,通过电阻R的感应电流的大小为0.2A;
(2)在t=2.0s时刻,电阻R消耗的电功率为0.16W;
(3)0~6.0s内整个闭合电路中产生的热量为7.2J.
点评:本题是电磁感应与电路知识简单的综合.当穿过回路的磁通量均匀变化时,回路中产生恒定电流,可以用焦耳定律求解热量.
(2)由P=I2R求出电阻R消耗的电功率.
(3)根据焦耳定律分别求出0~4.0s时间内和4.0s~6.0s时间内的热量,再求总和.
解答:解:(1)根据法拉第电磁感应定律,0~4.0s时间内线圈中磁通量均匀变化,产生恒定的感应电流.
t1=2.0s时的感应电动势
根据闭合电路欧姆定律,闭合回路中的感应电流
解得 I1=0.2A
(2)在t=2.0s时刻,电阻R消耗的电功率P=I12R=0.16W.
(3)根据焦耳定律,0~4.0s内闭合电路中产生的热量
Q1=I12(r+R)△t1=0.8 J
由图象可知,在4.0s~6.0s时间内,线圈中产生的感应电动势
根据闭合电路欧姆定律,t2=5.0s时闭合回路中的感应电流
闭合电路中产生的热量 Q2=I22(r+R)△t2=6.4J
故0~6.0s内整个闭合电路中产生的热量Q=Q1+Q2=7.2J.
答:(1)在t=2.0s时刻,通过电阻R的感应电流的大小为0.2A;
(2)在t=2.0s时刻,电阻R消耗的电功率为0.16W;
(3)0~6.0s内整个闭合电路中产生的热量为7.2J.
点评:本题是电磁感应与电路知识简单的综合.当穿过回路的磁通量均匀变化时,回路中产生恒定电流,可以用焦耳定律求解热量.
练习册系列答案
相关题目