题目内容
甲、乙两物体相距S,同时同向运动,甲在前做初速度为v1、加速度为a1的匀加速直线运动,乙在后做初速度为v2、加速度为a2的匀加速直线运动,若运动范围不受限制,下列说法正确的是( )
A.若a2>a1,两物体一定会相遇
B.若a2<a1,两物体一定不会相遇
C.若v2>v1,两物体一定会相遇
D.若v2<v1,两物体一定会不相遇
【答案】分析:设经过t相遇,根据位移之间的关系写出t的表达式,然后进行分项讨论即可解题.
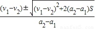
解答:解:设经过t相遇

解得:t=
A、当a2>a1,t一定有一个正实数解,A正确.
B、当a2<a1,若v1<v2,且(v1-v2)2+2(a2-a1)S≥0
t可能有一个正实数解,B错误;
C、若v2>v1,当a2<a1,且(v1-v2)2+2(a2-a1)S<0则t无解,C错误;
D、若v2<v1,当a2>a1,t一定有一个正实数解,D错误.
故选A.
点评:本题要求同学们先根据相遇时位移关系解出时间t的表达式,然后逐项分析,对同学们数学功底要求较高,属于难题.
解答:解:设经过t相遇
解得:t=
A、当a2>a1,t一定有一个正实数解,A正确.
B、当a2<a1,若v1<v2,且(v1-v2)2+2(a2-a1)S≥0
t可能有一个正实数解,B错误;
C、若v2>v1,当a2<a1,且(v1-v2)2+2(a2-a1)S<0则t无解,C错误;
D、若v2<v1,当a2>a1,t一定有一个正实数解,D错误.
故选A.
点评:本题要求同学们先根据相遇时位移关系解出时间t的表达式,然后逐项分析,对同学们数学功底要求较高,属于难题.
练习册系列答案
相关题目