题目内容
一个质子和一个α粒子先后垂直磁场方向进入一个有理想边界的匀强磁场区域,它们在磁场中的运动轨迹完全相同,都是如图中的O为圆心的半圆.已知质子与α粒子的电量之比ql:q2=1:2,质量之比 m1:m2=1:4,则以下说法中不正确的是( )A.它们在磁场中运动的时间相等
B.它们在磁场中所受到的向心力大小相等
C.它们在磁场中运动时的动能相等
D.它们在磁场中运动时的速度大小不相等
【答案】分析:已知质子和α粒子的质量和电量关系,又两个粒子的运动轨迹相同,即他们的半径r相等,根据半径公式
即可求出速度之比,其他问题也便解决.
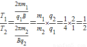
解答:解:A、根据带电粒子在磁场中运动周期公式
可得
故A说法错误;
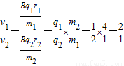
B、两个粒子的运动轨迹相同,即他们的半径r相等,根据半径公式
,可得
①
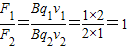
带电粒子在磁场中做圆周运动,洛伦兹力提供向心力,即Fn=qvB得:
故B说法正确;
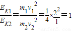
C、由公式
得:
故C说法正确;
D、由①式知D说法正确;
该题选不正确的,故选A.
点评:本题是带电粒子在匀强磁场中半径和周期公式,对两公式一定要熟练掌握.
解答:解:A、根据带电粒子在磁场中运动周期公式
B、两个粒子的运动轨迹相同,即他们的半径r相等,根据半径公式
带电粒子在磁场中做圆周运动,洛伦兹力提供向心力,即Fn=qvB得:
C、由公式
D、由①式知D说法正确;
该题选不正确的,故选A.
点评:本题是带电粒子在匀强磁场中半径和周期公式,对两公式一定要熟练掌握.
练习册系列答案
相关题目