题目内容
A.A球的最大速度为2
B.A球速度最大时,两小球的总重力势能最小
C.A球速度最大时,两直角边与竖直方向的夹角为45°
D.A、B两球的最大速度之比vA:vB=2:1
【答案】分析:AB两个球组成的系统机械能守恒,但对于单个的球来说机械能是不守恒的,根据系统的机械能守恒列式可以求得AB之间的关系,同时由于AB是同时转动的,它们的角速度的大小相同.
解答:解:由机械能守恒可知,两球总重力势能最小时,二者的动能最大,所以B正确;
根据题意知两球的角速度相同,线速度之比为VA:VB=ω?2l:ω?l=2:1,故D正确;
当OA与竖直方向的夹角为θ时,由机械能守恒得:
mg?2lsinθ-2mg?l(1-cosθ)=
mVA2+
?2mVB2,
解得:VA2=
gl(sinθ+cosθ)-
gl,
由数学知识知,当θ=45°时,sinθ+cosθ有最大值,故选项C是正确的;
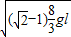
最大值为:VA=
,所以A错误.
故选BCD.
点评:本题中的AB的位置关系并不是在一条直线上,所以在球AB的势能的变化时要注意它们之间的关系,在解题的过程中还要用到数学的三角函数的知识,要求学生的数学基本功要好,本题由一定的难度.
解答:解:由机械能守恒可知,两球总重力势能最小时,二者的动能最大,所以B正确;
根据题意知两球的角速度相同,线速度之比为VA:VB=ω?2l:ω?l=2:1,故D正确;
当OA与竖直方向的夹角为θ时,由机械能守恒得:
mg?2lsinθ-2mg?l(1-cosθ)=
解得:VA2=
由数学知识知,当θ=45°时,sinθ+cosθ有最大值,故选项C是正确的;
最大值为:VA=
故选BCD.
点评:本题中的AB的位置关系并不是在一条直线上,所以在球AB的势能的变化时要注意它们之间的关系,在解题的过程中还要用到数学的三角函数的知识,要求学生的数学基本功要好,本题由一定的难度.
练习册系列答案
相关题目