ÌâÄ¿ÄÚÈÝ
ÈçͼËùʾ£¬ÔÚ×ø±êϵOxyµÄµÚÒ»ÏóÏÞÖдæÔÚÑØyÖáÕý·½ÏòµÄÔÈÇ¿µç³¡£¬³¡Ç¿´óСΪE£®ÔÚÆäËûÏóÏÞÖдæÔÚÔÈÇ¿´Å³¡£¬´Å³¡·½Ïò´¹Ö±Ö½ÃæÏòÀAÊÇyÖáÉϵÄÒ»µã£¬Ëüµ½×ø±êÔµãOµÄ¾àÀëΪh£»CÊÇxÖáÉϵÄÒ»µã£¬µ½OµÄ¾àÀëΪl£®Ò»ÖÊÁ¿Îªm¡¢µçºÉÁ¿ÎªqµÄ´ø¸ºµçµÄÁ£×ÓÒÔijһ³õËÙ¶ÈÑØxÖá·½Ïò´ÓAµã½øÈëµç³¡ÇøÓò£¬¼Ì¶øÍ¬¹ýCµã½øÈë´Å³¡ÇøÓò£¬²¢ÔÙ´Îͨ¹ýAµã£¬´ËʱËÙ¶ÈÓëyÖáÕý·½Ïò³ÉÈñ½Ç£®²»¼ÆÖØÁ¦×÷Óã®ÊÔÇ󣺣¨1£©Á£×Ó¾¹ýCµãʱËٶȵĴóСºÍ·½Ïò£¨ÓÃtan¦È±íʾ¼´¿É£©£»
£¨2£©´Å¸ÐӦǿ¶ÈµÄ´óСB£®
¡¾´ð°¸¡¿·ÖÎö£º£¨1£©Á£×ÓÔڵ糡×÷ÓÃÏÂ×öÀàÆ½Å×Ô˶¯£¬¼ÓËÙ¶ÈÑØyÖḺ·½Ïò£¬¸ù¾ÝƽÅ×Ô˶¯µÄ»ù±¾¹«Ê½¿ÉÇó³ö³õËÙ¶È£¬ÔÙ¸ù¾ÝÔ²ÖÜÔ˶¯µÄ¶Ô³ÆÐÔÇó³öCµã½øÈë´Å³¡Ê±µÄËÙ¶ÈΪv£¬·½Ïò¿Éͨ¹ý¼¸ºÎ¹ØÏµÇó½â£®
£¨2£©Á£×Ó´ÓCµã½øÈë´Å³¡ºóÔڴų¡ÖÐ×öËÙÂÊΪvµÄÔ²ÖÜÔ˶¯£®Í¨¹ý¼¸ºÎ¹ØÏµ±íʾ³ö¹ìµÀ°ë¾¶R£¬½ø¶øÇó³öB£®
½â´ð£º½â£º£¨1£©ÒÔa±íʾÁ£×ÓÔڵ糡×÷ÓÃϵļÓËÙ¶È£¬ÓÐqE=ma ¢Ù
¼ÓËÙ¶ÈÑØyÖḺ·½Ïò£®ÉèÁ£×Ó´ÓAµã½øÈëµç³¡Ê±µÄ³õËÙ¶ÈΪv£¬ÓÉAµãÔ˶¯µ½Cµã¾ÀúµÄʱ¼äΪt£¬
ÔòÓÐ h=
¢Ú
l=vt ¢Û
Óɢ٢ڵãº
¢Ü
ÉèÁ£×Ó´ÓCµã½øÈë´Å³¡Ê±µÄËÙ¶ÈΪv£¬v´¹Ö±ÓÚxÖáµÄ·ÖÁ¿
¢Ý
Óɢ٢ܢÝʽµÃ
=
¢Þ
ÉèÁ£×Ó¾¹ýCµãʱµÄËÙ¶È·½ÏòÓëxÖá¼Ð½ÇΪ¦Á£¬ÔòÓÐtan¦Á=
¢ß
ÓɢܢݢßʽµÃ¦Á=arctan
¢à
£¨2£©Á£×Ó´ÓCµã½øÈë´Å³¡ºóÔڴų¡ÖÐ×öËÙÂÊΪvµÄÔ²ÖÜÔ˶¯£®ÈôÔ²Öܵİ뾶ΪR£¬ÔòÓÐqvB=
¢á
ÉèÔ²ÐÄΪP£¬ÔòPC±ØÓë¹ýCµãµÄËÙ¶È´¹Ö±£¬ÇÒÓÐ
£®Óæ±íʾPAÓëyÖáµÄ¼Ð½Ç£¬

Óɼ¸ºÎ¹ØÏµµÃRcos¦Â=Rcos¦Á+h¢â
Rsin¦Â=l-Rsin¦Á¢ñ
ÓÉ¢à¢â¢ñʽµÃ£º
¢ò
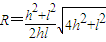
ÓÉ¢Þ¢á¢òʽµÃ£»
´ð£º£¨1£©Á£×Ó¾¹ýCµãʱËٶȵĴóСΪ
£¬·½ÏòΪarctan
£»£¨2£©´Å¸ÐӦǿ¶ÈµÄ´óСBΪ
£®
µãÆÀ£º±¾ÌâÖ÷Òª¿¼²éÁË´øµçÁ£×ÓÔÚ»ìºÏ³¡ÖÐÔ˶¯µÄÎÊÌ⣬ҪÇóͬѧÃÇÄÜÕýÈ··ÖÎöÁ£×ÓµÄÊÜÁ¦Çé¿ö£¬ÔÙͨ¹ýÊÜÁ¦Çé¿ö·ÖÎöÁ£×ÓµÄÔ˶¯Çé¿ö£¬ÊìÁ·ÕÆÎÕÆ½Å×Ô˶¯ºÍÔ²ÖÜÔ˶¯µÄ»ù±¾¹«Ê½£¬²¢¼¸ºÎ¼¸ºÎ¹ØÏµ½âÌ⣬ÄѶȽϴó£®
£¨2£©Á£×Ó´ÓCµã½øÈë´Å³¡ºóÔڴų¡ÖÐ×öËÙÂÊΪvµÄÔ²ÖÜÔ˶¯£®Í¨¹ý¼¸ºÎ¹ØÏµ±íʾ³ö¹ìµÀ°ë¾¶R£¬½ø¶øÇó³öB£®
½â´ð£º½â£º£¨1£©ÒÔa±íʾÁ£×ÓÔڵ糡×÷ÓÃϵļÓËÙ¶È£¬ÓÐqE=ma ¢Ù
¼ÓËÙ¶ÈÑØyÖḺ·½Ïò£®ÉèÁ£×Ó´ÓAµã½øÈëµç³¡Ê±µÄ³õËÙ¶ÈΪv£¬ÓÉAµãÔ˶¯µ½Cµã¾ÀúµÄʱ¼äΪt£¬
ÔòÓÐ h=
l=vt ¢Û
Óɢ٢ڵãº
ÉèÁ£×Ó´ÓCµã½øÈë´Å³¡Ê±µÄËÙ¶ÈΪv£¬v´¹Ö±ÓÚxÖáµÄ·ÖÁ¿
Óɢ٢ܢÝʽµÃ
ÉèÁ£×Ó¾¹ýCµãʱµÄËÙ¶È·½ÏòÓëxÖá¼Ð½ÇΪ¦Á£¬ÔòÓÐtan¦Á=
ÓɢܢݢßʽµÃ¦Á=arctan
£¨2£©Á£×Ó´ÓCµã½øÈë´Å³¡ºóÔڴų¡ÖÐ×öËÙÂÊΪvµÄÔ²ÖÜÔ˶¯£®ÈôÔ²Öܵİ뾶ΪR£¬ÔòÓÐqvB=
ÉèÔ²ÐÄΪP£¬ÔòPC±ØÓë¹ýCµãµÄËÙ¶È´¹Ö±£¬ÇÒÓÐ
Óɼ¸ºÎ¹ØÏµµÃRcos¦Â=Rcos¦Á+h¢â
Rsin¦Â=l-Rsin¦Á¢ñ
ÓÉ¢à¢â¢ñʽµÃ£º
ÓÉ¢Þ¢á¢òʽµÃ£»
´ð£º£¨1£©Á£×Ó¾¹ýCµãʱËٶȵĴóСΪ
µãÆÀ£º±¾ÌâÖ÷Òª¿¼²éÁË´øµçÁ£×ÓÔÚ»ìºÏ³¡ÖÐÔ˶¯µÄÎÊÌ⣬ҪÇóͬѧÃÇÄÜÕýÈ··ÖÎöÁ£×ÓµÄÊÜÁ¦Çé¿ö£¬ÔÙͨ¹ýÊÜÁ¦Çé¿ö·ÖÎöÁ£×ÓµÄÔ˶¯Çé¿ö£¬ÊìÁ·ÕÆÎÕÆ½Å×Ô˶¯ºÍÔ²ÖÜÔ˶¯µÄ»ù±¾¹«Ê½£¬²¢¼¸ºÎ¼¸ºÎ¹ØÏµ½âÌ⣬ÄѶȽϴó£®
Á·Ï°²áϵÁдð°¸
Ïà¹ØÌâÄ¿