题目内容
利用油膜法可以粗略测出阿伏加德罗常数.把密度 ρ=0.8×103kg/m3的某种油,用滴管滴出一滴油在水面上形成油膜,已知这滴油的体积为 V=0.5×10-3cm3,,形成的油膜面积为S=0.7m2,油的摩尔质量M=9×10-2kg/mol,若把油膜看成是单分子层,每个油分子看成球形,那么:(1)油分子的直径是多少?
(2)由以上数据可粗略测出阿伏加德罗常数NA是多少(先列出计算式,再代入数值计算,只要求保留一位有效数字)
【答案】分析:(1)根据油膜法测分子直径的原理可求出油分子的直径.
(2)根据油的摩尔质量和密度算出其摩尔体积,然后求出每个油分子的体积,即可正确解答本题.
解答:解:(1)油分子的直径:
m=7×10-10 m
故油分子的直径是7×10-10 m.
(2)油的摩尔体积为:
每个油分子的体积为:
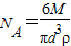
所以,阿伏加德罗常数为:
联立以上各式解得:
带入数值解得:NA=6×1023mol-1.
故粗略测出阿伏加德罗常数NA是:NA=6×1023mol-1.
点评:明确分子球模型和立方体模型的应用,知道阿伏伽德罗常数的含义和有关运算.
(2)根据油的摩尔质量和密度算出其摩尔体积,然后求出每个油分子的体积,即可正确解答本题.
解答:解:(1)油分子的直径:
故油分子的直径是7×10-10 m.
(2)油的摩尔体积为:
每个油分子的体积为:
所以,阿伏加德罗常数为:
联立以上各式解得:
带入数值解得:NA=6×1023mol-1.
故粗略测出阿伏加德罗常数NA是:NA=6×1023mol-1.
点评:明确分子球模型和立方体模型的应用,知道阿伏伽德罗常数的含义和有关运算.
练习册系列答案
相关题目