题目内容

(10分)如图所示,在水平方向的匀强电场中固定一表面光滑、与水平面成45º角的绝缘直杆AB,其B端距地面高度h。有一质量为m、带负电、电荷量为q的小环套在直杆上,正以v0的速度沿杆匀速下滑,小环离开杆后落在与B端正下方P点相距l的Q点,重力加速度g,求:

(1)电场强度E的大小;

(2)小环离开直杆后运动的加速度大小和方向;

(3)小环运动到Q点时的速度大小。

 

【答案】

(1)(2) 垂直斜向右下方(3)

【解析】

试题分析:(1)对小环进行受力分析,由于小环沿杆匀速下滑,则:

         (2分)

解得:           (1分)

(2)小环离开杆之后,受重力和电场力作用,这二力的合力为:

         (1分)

由牛顿第二定律得:          (1分)

联立解得:           (1分)

方向与直杆垂直斜向右下方           (1分)

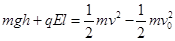
(3)对小环由B到Q的过程,由动能定理得:

           (2分)

解得:            (1分)

考点:本题考查牛顿第二定律和动能定理的应用。

 

练习册系列答案
相关题目

违法和不良信息举报电话:027-86699610 举报邮箱:58377363@163.com

精英家教网