ÌâÄ¿ÄÚÈÝ

£¨1£©Èçͼ1¼×Ëùʾ£¬Óα꿨³ßµÄ¶ÁÊýΪ______cm£»Í¼1ÒÒËùʾÃë±íµÄ¶ÁÊýΪ______s£®

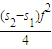
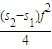
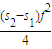
£¨2£©ÔÚ¡°ÑéÖ¤»úеÄÜÊØºã¶¨ÂÉ¡±µÄʵÑéÖУ¬ÈÃÖØ´¸×ÔÓÉÂäÏ£¬¸ù¾Ý´ò³öµÄÖ½´øÒ²¿ÉÒÔ²âÁ¿ÖØ´¸ÏÂÂäµÄ¼ÓËÙ¶È£®µÄÊýÖµ£®Èçͼ2ËùʾÊÇÔÚ´ò³öµÄÖ½´øÉÏѡȡµÄÁ¬ÐøÎå¸öµãA¡¢B¡¢C¡¢D¡¢E£¬²â³öAµã¾àÆðµã0µÄ¾àÀëΪS£®A¡¢CÁ½µã¼äµÄ¾àÀëΪS1¡¢CEÁ½µã¼äµÄ¾àÀëΪS2£¬Ê¹Óý»Á÷µçµÄƵÂÊΪf£¬Ôò¸ù¾ÝÕâЩÊýÖµ¼ÆËãÖØ´¸ÏÂÂäµÄ¼ÓËÙ¶È£®µÄ±í´ïʽΪa=______£®ÔÚ´ËʵÑéÖз¢ÏÖ£¬ÖØ´¸¼õСµÄÖØÁ¦ÊÆÄÜ×ÜÊÇ´óÓÚÖØ´¸Ôö¼ÓµÄ¶¯ÄÜ£¬ÆäÖ÷ÒªÔ­ÒòÊÇÖØ´¸ÔÚÏÂÂä¹ý³ÌÖÐÊܵ½×èÁ¦µÄ×÷Óã®Èç¹ûÒª²â¶¨¸Ã×èÁ¦µÄ´óС£¬ÔÚÖªµ½ÖØÁ¦¼ÓËٶȵÄ׼ȷֵΪgʱ£¬»¹ÐèÒª²âÁ¿µÄÎïÀíÊÇ______ £¨Ð´³öÃû³ÆºÍ·ûºÅ£©£®ÊÔÓÃÕâЩÎïÀíÁ¿ºÍÉÏÃæÖ½´øÖеIJâÁ¿Êý¾Ý±íÊ¾ÖØ´¸ÔÚÏÂÂä¹ý³ÌÖÐÊܵ½×èÁ¦´óСΪF=______£®
¡¾´ð°¸¡¿·ÖÎö£º£¨1£©Óα꿨³ß¶ÁÊýµÄ·½·¨ÊÇÖ÷³ß¶ÁÊý¼ÓÉÏÓαê¶ÁÊý£¬²»Ðè¹À¶Á£¬Ãë±íµÄÖмäµÄ±íÅÌ´ú±í·ÖÖÓ£¬ÖÜΧµÄ´ó±íÅÌ´ú±íÃ룬Ãë±í¶ÁÊýÊÇÁ½¸ö±íÅ̵ÄʾÊýÖ®ºÍ£»
£¨2£©ÖØ´¸ÏÂÂä×öÔȱäËÙÖ±ÏßÔ˶¯£¬ÀûÓÃÖð²î·¨¿ÉÒÔÇó³öÆä¼ÓËÙ¶È´óС£¬¸ù¾ÝÅ£¶ÙµÚ¶þ¶¨ÂÉÁгö·½³Ì£¬¼´¿ÉÖªµÀËùÐèÒª²âÁ¿µÄÎïÀíÁ¿²¢ÄÜÇó³öÎïÌå¼ÓËÙ¶È£®
½â´ð£º½â£º£¨1£©Óα꿨³ßµÄ¹Ì¶¨¿Ì¶È¶ÁÊýΪ2.2cm£¬Óαê¶ÁÊýΪ0.05×9mm=0.45mm=0.045cm£¬ËùÒÔ×îÖÕ¶ÁÊýΪ£º2.2cm+0.045cm=2.245cm£»
СÅ̵ÄÖ¸Õë¶ÁÊýΪ£º3.5min=210s£¬Ð¡Å̶ÁÊýΪ7.5s£¬¼´×îºó¶ÁÊýΪ£º210s+7.5s=217.5s
¹Ê±¾Ìâ´ð°¸Îª£º2.245£¬217.5£®
£¨2£©¸ù¾ÝÖð²î·¨ÓУºs2-s1=aT2£¬ÆäÖÐT=£¬¹Ê½âµÃ£ºa=£»
¸ù¾ÝÅ£¶ÙµÚ¶þ¶¨Âɿɵãºmg-f=ma£¬Òò´ËÖ»Òª²â³öÎïÌåÖÊÁ¿£¬¼´¿ÉÕýÈ·½â³öÎïÌåµÄ¼ÓËÙ¶È£®
¸ù¾ÝÅ£¶ÙµÚ¶þ¶¨ÂɵãºF=mg-ma=mg-m £®
¹Ê´ð°¸Îª£º£¬ÖØ´¸ÖÊÁ¿m£¬mg-£®
µãÆÀ£º£¨1£©½â¾ö±¾ÌâµÄ¹Ø¼üÕÆÎÕÓα꿨³ßºÍÃë±íµÄ¶ÁÊý·½·¨£¬Óα꿨³ß¶ÁÊýµÄ·½·¨ÊÇÖ÷³ß¶ÁÊý¼ÓÉÏÓαê¶ÁÊý£¬²»Ðè¹À¶Á£¬Ãë±íÒªÏȶÁ³öÄÚС±íÅ̵ĶÁÊý£¬ÔÙ¶ÁÍâ±íÅ̵ÄʾÊý£¬²¢×¢Òâ¸÷±íÅ̵ķֶÈÖµ£®
£¨2£©¶ÔÓÚʵÑéÒ»¶¨Ã÷ȷʵÑéÔ­ÀíºÍʵÑéÄ¿µÄ£¬ÕâÑùÔÚ½øÐÐÊý¾ÝÊý¾Ý²âÁ¿ºÍÊý¾Ý´¦Àí¾ÍÓÐÁËÒÀ¾Ý£®
Á·Ï°²áϵÁдð°¸
Ïà¹ØÌâÄ¿
£¨2011?Ðí²ýһ죩£¨1£©Èçͼ1¼×Ëùʾ£¬Ä³Í¬Ñ§½«Ò»¶Ë¹Ì¶¨Óл¬Âֵij¤Ä¾°åˮƽ·ÅÖÃÔÚ×ÀÃæÉÏ£¬ÀûÓù³Âëͨ¹ýϸÉþˮƽÀ­Ð¡³µ£¬ÈÃС³µ´Ó¾²Ö¹¿ªÊ¼Ô˶¯£¬ÀûÓôòµã¼ÆÊ±Æ÷ÔÚÖ½´øÉϼÇ¼С³µµÄÔ˶¯Çé¿ö£®Èçͼ1ÒÒËùʾ£¬ÆäÖÐOµãΪֽ´øÉϼǼµ½µÄµÚÒ»µã£¬A¡¢B¡¢CÊǸÃͬѧÔÚÖ½´øÉÏËùÈ¡µÄһЩµã£®ÒÑÖª´òµã¼ÆÊ±Æ÷ËùÓý»Á÷µçÔ´µÄƵÂÊΪ50Hz£¨´òµã¼ÆÊ±Æ÷ÿ¸ô0.02s´òÒ»¸öµã£©£¬ÀûÓÃͼÖиø³öµÄÊý¾Ý£¬Ëã³ö´òµã¼ÆÊ±Æ÷´òÏÂBµãʱС³µµÄËÙ¶È´óСvB=
1.03
1.03
m/s£¬Ð¡³µÔ˶¯¹ý³ÌÖеļÓËÙ¶È´óСa=
1.34
1.34
m/s2£®£¨½á¹û¾ù±£Áô3λÓÐЧÊý×Ö£©
£¨2£©Ä³Í¬Ñ§ÔÚ̽¾¿Ä¦²ÁÁ¦µÄʵÑéÖвÉÓÃÁËÈçͼ2ËùʾµÄ²Ù×÷£¬½«Ò»¸ö³¤·½Ìåľ¿é·ÅÔÚˮƽ×ÀÃæÉÏ£¬È»ºóÓÃÒ»¸öÁ¦´«¸ÐÆ÷¶Ôľ¿éÊ©¼ÓÒ»¸öˮƽÀ­Á¦F£¬²¢ÓÃÁíÍâÒ»¸ö´«¸ÐÆ÷¶Ôľ¿éµÄÔ˶¯×´Ì¬½øÐмà²â£¬±íÖÐÊǼǼµÄʵÑéÊý¾Ý£®Ä¾¿éµÄÖØÁ¦Îª10.00N£¬ÖØÁ¦¼ÓËÙ¶Èg=9.80m/s2£¬¸ù¾Ý±í¸ñÖеÄÊý¾Ý»Ø´ðÏÂÁÐÎÊÌ⣨´ð°¸±£Áô3λÓÐЧÊý×Ö£©£ºÄ¾¿éÓë×ÀÃæ¼äµÄ×î´ó¾²Ä¦²ÁÁ¦fmÒ»¶¨²»Ð¡ÓÚ
4.01
4.01
N£»Ä¾¿éÔȼÓËÙÔ˶¯Ê±Êܵ½µÄĦ²ÁÁ¦f=
4.01
4.01
N£®
ʵÑé´ÎÊý Ô˶¯×´Ì¬ ˮƽÀ­Á¦F/N
1 ¾²Ö¹ 3.62
2 ¾²Ö¹ 4.00
3 ÔÈËÙ 4.01
4 ÔȼÓËÙ 5.01
5 ÔȼÓËÙ 5.49
£®
¢ñ¡¢ÎªÁË̽Ç󵯻ɵ¯Á¦FºÍµ¯»ÉÉ쳤Á¿xµÄ¹ØÏµ£¬ÀîǿͬѧѡÁ˼ס¢ÒÒÁ½¸ù¹æ¸ñ²»Í¬µÄµ¯»É½øÐвâÊÔ£¬¸ù¾Ý²âµÃµÄÊý¾Ý»æ³öÈçͼ1ËùʾµÄͼÏ󣬴ÓͼÏóÉÏ¿´£¬¸ÃͬѧûÄÜÍêÈ«°´ÊµÑéÒªÇó×ö£¬Ê¹Í¼ÏóÉ϶˳ÉΪÇúÏߣ¬Í¼ÏóÉ϶˳ÉΪÇúÏßÊÇÒòΪ
 
£®ÕâÁ½¸ùµ¯»ÉµÄ¾¢¶ÈϵÊý·Ö±ðΪ£º¼×µ¯»ÉΪ
 
N/m£¬ÒÒµ¯»ÉΪ
 
N/m£®ÈôÒªÖÆ×÷Ò»¸ö¾«È·¶È½Ï¸ßµÄµ¯»É³Ó£¬Ó¦Ñ¡µ¯»É
 
£¨Ìî¡°¼×¡±»ò¡°ÒÒ¡±£©£®
¢ò¡¢¡°Ì½¾¿¼ÓËÙ¶ÈÓëÎïÌåÖÊÁ¿¡¢ÎïÌåÊÜÁ¦µÄ¹ØÏµ¡±µÄʵÑé×°ÖÃÈçͼ2¼×Ëùʾ£®
£¨1£©ÔÚÆ½ºâС³µÓë×ÀÃæÖ®¼äĦ²ÁÁ¦µÄ¹ý³ÌÖУ¬´ò³öÁËÒ»ÌõÖ½´üÈçͼ2ÒÒËùʾ£®¼ÆÊ±Æ÷´òµãµÄʱ¼ä¼ä¸ôΪ0.02s£®´Ó±È½ÏÇåÎúµÄµãÆð£¬Ã¿5¸öµãȡһ¸ö¼ÆÊýµã£¬Á¿³öÏàÁÚ¼ÆÊýµãÖ®¼äµÄ¾àÀ룮¸ÃС³µµÄ¼ÓËÙ¶Èa=
 
ÒÔ¼°ÔÚλÖá°2¡±Ê±µÄ˲ʱËÙ¶Èv2=
 
£¨½á¹û±£ÁôÁ½Î»ÓÐЧÊý×Ö£©
£¨2£©Æ½ºâĦ²ÁÁ¦ºó£¬½«5¸öÏàͬµÄíÀÂë¶¼·ÅÔÚС³µÉÏ£®¹ÒÉÏíÀÂëÅÌ£¬È»ºóÿ´Î´ÓС³µÉÏȡһ¸öíÀÂëÌí¼Óµ½íÀÂëÅÌÖУ¬²âÁ¿Ð¡³µµÄ¼ÓËÙ¶È£®Ð¡³µµÄ¼ÓËÙ¶ÈaÓëíÀÂëÅÌÖÐíÀÂë×ÜÖØÁ¦FµÄʵÑéÊý¾ÝÈçÏÂ±í£º
íÀÂëÅÌÖÐíÀÂë×ÜÖØÁ¦F£¨N£© 0.196 0.392 0.588 0.784 0.980
¼ÓËÙ¶Èa£¨m?s-2£© 0.69 1.18 1.66 2.18 2.70
¸ù¾ÝʵÑéÊý¾Ý×÷³öa-FµÄ¹ØÏµÍ¼ÏóÈçͼ3Ëùʾ£¬´ÓͼÏó¿ÉÒԾ͵ÃС³µ¼°³µÉÏíÀÂëµÄ×ÜÖÊÁ¿Îª
 
£¨¼ÆËã½á¹û±£ÁôÈýλÓÐЧÊý×Ö£©
£¨3£©¸ù¾ÝÌṩµÄÊÔÑéÊý¾Ý×÷³öµÄa-FͼÏß²»Í¨¹ýÔ­µã£¬Çë˵Ã÷Ö÷ÒªÔ­Òò
 

¾«Ó¢¼Ò½ÌÍø
£¨2011?ÕØÇìһ죩£¨1£©Ä³Í¬Ñ§ÓÃÈçͼ1ËùʾµÄ×°Öòⶨµ±µØµÄÖØÁ¦¼ÓËÙ¶È£º
¢Ùµç»ð»¨¼ÆÊ±Æ÷µÄ¹¤×÷µçѹÊÇ
220V
220V
£¬ÆµÂÊ
50Hz
50Hz
£»
¢Ú´ò³öµÄÖ½´øÈçͼ2Ëùʾ£¬ÊµÑéʱֽ´øµÄ
ÒÒ
ÒÒ
¶ËÊǺÍÖØÎïÏàÁ¬½Ó£»£¨Ñ¡Ìî¡°¼×¡±»ò¡°ÒÒ¡±£©
¢ÛÖ½´øÉÏ1ÖÁ9¸÷µãΪ¼ÆÊ±µã£¬ÓÉÖ½´øËùʾÊý¾ÝËã³öµ±µØµÄÖØÁ¦¼ÓËÙ¶ÈÊÇ
9.4m/s2
9.4m/s2
£»
¢ÜÈôµ±µØµÄÖØÁ¦¼ÓËÙ¶ÈÕæÊµÊýÖµÊÇ9.8m/s2£¬ÇëÈÎÒâд³öÒ»¸ö²âÁ¿ÖµÓëÕæÊµÖµÓвîÒìµÄÔ­Òò
Ö½´øÊܵ½Ä¦²Á×èÁ¦ºÍ¿ÕÆø×èÁ¦
Ö½´øÊܵ½Ä¦²Á×èÁ¦ºÍ¿ÕÆø×èÁ¦
£»
¢Ý±¾´ÎʵÑé²âÁ¿µÄÏà¶ÔÎó²îΪ
4.1%
4.1%
£®£¨±£ÁôÁ½Î»ÓÐЧÊý×Ö£©

£¨2£©ÓÐÒ»Ö»µçѹ±í£¬Á¿³ÌÒÑÖª£¬ÄÚ×èΪRV£¬ÁíÓÐÒ»µç³Ø×飨µç¶¯ÊÆÎ´Öª£¬µ«²»³¬¹ýµçѹ±íµÄÁ¿³Ì£¬ÄÚ×è¿ÉºöÂÔ£©£¬Ð¡Ã÷ͬѧÓÃÕâÖ»µçѹ±íºÍµç³Ø×飬ÔÙ¼ÓÒ»¸ö¿ª¹ØºÍһЩÁ¬½Óµ¼Ïߣ¬Éè¼Æ³ö²âÁ¿Ä³Ò»¸ß×èÖµµç×èRxµÄʵÑé·½·¨£®£¨ÒÑÖªRxµÄ×èÖµºÍµçѹ±íµÄÄÚ×èRVÏà²î²»´ó£©
¢ÙÈôËûͨ¹ýÁ½¸ö²½Öè²â³öÁËRxµÄÖµ£¬ÇëÔÚÏÂÃæ·½¿òÄÚ°îËû»­³ö²âÁ¿²½Ö裨һ£©ºÍ²½Ö裨¶þ£©µÄʵÑéµç·ͼ£»

¢Ú¼òҪд³öËûÔÚ²âÁ¿²½Ö裨һ£©ºÍ£¨¶þ£©ÖÐÐè¼Ç¼µÄÊý¾Ý£»
²½Ö裨һ£©
°´Í¼ÖÐËùʾÁ¬½ÓʵÑéµç·£¬±ÕºÏ¿ª¹ØS£¬¶Á³öµçѹ±íµÄʾÊýU1
°´Í¼ÖÐËùʾÁ¬½ÓʵÑéµç·£¬±ÕºÏ¿ª¹ØS£¬¶Á³öµçѹ±íµÄʾÊýU1
£»²½Ö裨¶þ£©
°´Í¼ÖÐËùʾÁ¬½ÓʵÑéµç·£¬±ÕºÏ¿ª¹ØS£¬¶Á³öµçѹ±íµÄʾÊýU2
°´Í¼ÖÐËùʾÁ¬½ÓʵÑéµç·£¬±ÕºÏ¿ª¹ØS£¬¶Á³öµçѹ±íµÄʾÊýU2
£»£¨ÒÔÉÏÁ½¿ÕÓÃ×Öĸ±íʾ²¢ÓÃÎÄ×Ö×÷¼òҪ˵Ã÷£©
¢ÛÓâÚÖеÄÊý¾Ý±íʾ¸ß×èÖµµç×èRxµÄ±í´ïʽRx=
(U1-U2)
U2
RV
(U1-U2)
U2
RV
£®

Î¥·¨ºÍ²»Á¼ÐÅÏ¢¾Ù±¨µç»°£º027-86699610 ¾Ù±¨ÓÊÏ䣺58377363@163.com

¾«Ó¢¼Ò½ÌÍø