题目内容
假设我们已经进入了航天时代,一个由高中学生组成的航天兴趣小组正乘外星科学考察飞船前往X星球,准备用携带的下列器材测量X星球表面的重力加速度g,这些器材是:A.钩码一盒B.重锤一个
C.已知直径的带孔金属小球一个D.无弹性的丝线一根
E.刻度尺一把F.测力计一个
G.天平一台(含砝码一盒)H.秒表一个
I.支架(能满足实验所需的固定作用)
J.光电计时器(可用来精确测量运动物体经过某两点的时间间隔)
到达X星球后,某学生从以上器材中选择合适的器材,根据不同的实验原理,用不同的方法测出了重力加速度g'的值.现请你完成他所做的实验:
实验一:(已经完成)
(1)选用的器材有:A、F、G.
(2)需要测量的物理量为:钩码的质量m,钩码的重力F.
(3)计算重力加速度的表达式为
实验二:
(1)选用的器材有:
(2)需要测量的物理量为:
(3)计算重力加速度的表达式为g'= .
【答案】分析:模仿地球上根据单摆周期公式测出重力加速度的方法去测X星球的重力加速度.
解答:解:根据单摆周期公式测出重力加速度,
T=2
g=
(1)选用的器材有:CDEHI
(2)需要测量的物理量为:线长L;摆动n次的时间t.
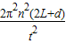
(3)摆长l=L+
,周期T=
g′=
=
故答案为:(1)选用的器材有:CDEHI;
(2)线长L;摆动n次的时间t.
(3)
点评:本题要求同学们自己设计实验测量重力加速度,要能根据地球上测重力加速度的方法去测量X星球的重力加速度,能举一反三,难度适中.
解答:解:根据单摆周期公式测出重力加速度,
T=2
g=
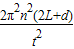
(1)选用的器材有:CDEHI
(2)需要测量的物理量为:线长L;摆动n次的时间t.
(3)摆长l=L+
g′=
故答案为:(1)选用的器材有:CDEHI;
(2)线长L;摆动n次的时间t.
(3)
点评:本题要求同学们自己设计实验测量重力加速度,要能根据地球上测重力加速度的方法去测量X星球的重力加速度,能举一反三,难度适中.
练习册系列答案
相关题目