题目内容
若两颗人造地球卫星的周期之比为T1∶T2=2∶1,则它们的轨道半径之比R1∶R2=____,向心加速度之比a1∶a2=____。
【答案】
![]()
【解析】
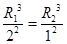
试题分析:根据开普勒第三定律:
,即
,因此
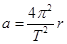
;根据牛顿第二定律:
可得:
。
考点:牛顿第二定律,万有引力与航天
练习册系列答案
相关题目
题目内容
若两颗人造地球卫星的周期之比为T1∶T2=2∶1,则它们的轨道半径之比R1∶R2=____,向心加速度之比a1∶a2=____。
![]()
【解析】
试题分析:根据开普勒第三定律:
,即
,因此
;根据牛顿第二定律:
可得:
。
考点:牛顿第二定律,万有引力与航天