题目内容
如图所示是电磁流量计的示意图.圆管由非磁性材料制成,空间有匀强磁场.当管中的导电液体流过磁场区域时,测出管壁上MN两点的电动势E,就可以知道管中液体的流量Q--单位时间内流过管道横截面的液体的体积.已知管的直径为d,磁感应强度为B,则关于Q的表达式正确的是( )A.
B.
C.
D.
【答案】分析:导电液体流过磁场区域时,正负电荷受到洛伦兹力,发生偏转打到上下两个面上,上下两个面之间形成电场,最终正负电荷在电场力和洛伦兹力的作用下处于平衡,根据受力平衡求出电荷的速度,再根据Q=vS求出流量.
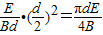
解答:解:最终正负电荷在电场力和洛伦兹力的作用下处于平衡,有qvB=q
,则v=
流量Q=vS=
.故B正确,A、C、D错误.
故选B.
点评:解决本题的关键知道导电液体流过磁场区域时,正负电荷受到洛伦兹力,发生偏转打到上下两个面上,上下两个面之间形成电场,最终正负电荷在电场力和洛伦兹力的作用下处于平衡.
解答:解:最终正负电荷在电场力和洛伦兹力的作用下处于平衡,有qvB=q
流量Q=vS=
故选B.
点评:解决本题的关键知道导电液体流过磁场区域时,正负电荷受到洛伦兹力,发生偏转打到上下两个面上,上下两个面之间形成电场,最终正负电荷在电场力和洛伦兹力的作用下处于平衡.
练习册系列答案
相关题目
如图所示是电磁流量计的示意图,圆管由非磁性材料,空间有匀强磁场,当管中的导电液体流过磁场区域时,测出管壁上MN两点间的电势差U,就可以知道管中液体的流量Q--单位时间内流过管道横截面的液体的体积.已知管的直径为d,磁感应强度为B,则关于Q的表达式正确的是( )

A、Q=
| ||
B、Q=
| ||
C、Q=
| ||
D、Q=
|