题目内容

(2012浙江期中测试)如图甲所示,边长为L的正方形区域ABCD内有竖直向下的匀强电场,电场强度为E,与区域边界BC相距L处竖直放置足够大的荧光屏,荧光屏与AB延长线交于O点。现有一质量为m,电荷量为+q的粒子从A点沿AB方向以一定的初速进入电场,恰好从BC边的中点P飞出,不计粒子重力。

(1)求粒子进入电场前的初速度的大小?

(2)其他条件不变,增大电场强度使粒子恰好能从CD边的中点Q飞出,求粒子从Q点飞出时的动能?

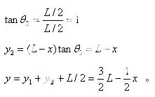
(3)现将电场分成AEFD和EBCF相同的两部分,并将EBCF向右平移一段距离x(x≤L),如图乙所示。设粒子打在荧光屏上位置与O点相距y,请求出y与x的关系?

练习册系列答案
相关题目

违法和不良信息举报电话:027-86699610 举报邮箱:58377363@163.com

精英家教网