题目内容
如图所示,质量m=1kg的物体,以v=10m/s的初速度沿粗糙的水平面向右运动,物体与地面间的动摩擦因数μ=0.2;同时物体受到一个与运动方向相反的3N的F的作用,经过3s,撤去外力F,求物体滑行的总位移.
【答案】分析:分过程对物体进行受力分析,再利用匀加速直线运动和匀减速直线运动的规律求解.
解答:解:设以初速度的方向(向右)为正方向,由牛顿第二定律:
=
m/s2=-5m/s2,
物体从10m/s的初速度到速度减为零所用的时间和位移分别为
=2s
=10m
在F作用后2s,由于F>Ff,物体将反向(向左)做加速度运动,加速度为
=
m/s2=-1m/s2,
再经过1s,物体从初速度为零做反向加速运动,位移为s2,则
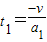
当F撤去后,物体在摩擦阻力作用下做匀减速运动,运动方向还足向左,其加速度为
m/s2=2m/s2
F撤去时物体具有的速度v=a2t2=-1×1m/s=-1m/s
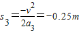
继续运动的位移为s3,则
所以,物体运动的总位移为s=s1+s2+s3=10-0.5-0.25m=9.25m
答:物体滑行的总位移为9.25m.
点评:解本题的关键地方在于分析物体的运动过程,分析清楚物体的运动过程后根据物体加速和减速运动的规律逐个求解.
解答:解:设以初速度的方向(向右)为正方向,由牛顿第二定律:
物体从10m/s的初速度到速度减为零所用的时间和位移分别为
在F作用后2s,由于F>Ff,物体将反向(向左)做加速度运动,加速度为
再经过1s,物体从初速度为零做反向加速运动,位移为s2,则
当F撤去后,物体在摩擦阻力作用下做匀减速运动,运动方向还足向左,其加速度为
F撤去时物体具有的速度v=a2t2=-1×1m/s=-1m/s
继续运动的位移为s3,则
所以,物体运动的总位移为s=s1+s2+s3=10-0.5-0.25m=9.25m
答:物体滑行的总位移为9.25m.
点评:解本题的关键地方在于分析物体的运动过程,分析清楚物体的运动过程后根据物体加速和减速运动的规律逐个求解.
练习册系列答案
相关题目