题目内容

有人说矿区的重力加速度偏大,某同学“用单摆测定重力加速度”的实验探究该问题.
(1)他用最小分度为毫米的米尺测得摆线的长度L为800.0mm,用游标为10分度的卡尺测得摆球的直径如图1所示,摆球的直径D为    mm.他把摆球从平衡位置拉开一个小角度由静止释放,使单摆在竖直平面内摆动,当摆动稳定后,在摆球通过平衡位置时启动秒表,并数下“0”,直到摆球第N次同向通过平衡位置时按停秒表,秒表读数如图2所示,读出所经历的时间t=    s
(2)根据上述物理量,写出当地的重力加速度的表达式为    .(用L、D、N、t等符号表示)
【答案】分析:(1)游标卡尺主尺与游标尺示数之和是游标卡尺的示数;秒表分针示数与秒针示数之和是秒表的示数;
(2)根据单摆周期公式求出重力加速的表达式.
解答:解:(1)由图1所示游标卡尺可知,主尺示数是2cm=20mm,游标尺示数是1×0.1mm=0.1mm,游标卡尺所示是20mm+0.1mm=20.1mm;由图2所示秒表可知,秒表分针示数是0min,秒针示数是54s,则秒表示数是54s.
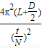
(2)单摆摆长l=L+,单摆周期T=,由单摆周期公式T=2π可知,
g=4π2==
故答案为:(1)20.1,54;(2)
点评:对游标卡尺读数时,要先确定游标尺的精度,游标尺是10分度的,精度是0.1mm,游标尺是20分度的,精度是0.05mm,游标尺是50分度的,精度是0.02mm.
练习册系列答案
相关题目
(1)如图1所示,某同学在做“研究匀变速直线运动”的实验中,由打点计时器得到表示小车运动过程的一条清晰纸带,纸带上两相邻计数点的时间间隔为T=0.10s,其中s1=5.12cm,s2=5.74cm,s3=6.14cm,s4=7.05cm,s5=7.68cm,s6=8.33cm、则打F点时小车的瞬时速度的大小是
0.80
0.80
m/s,加速度大小是
0.64
0.64
m/s2.(计算结果保留两位有效数字)

(2)有人说矿区的重力加速度偏大,某同学“用单摆测定重力加速度”的实验探究该问题.他用最小分度为毫米的米尺测得摆线的长度为800.0mm,用游标为10分度的卡尺测得摆球的直径如图2所示,摆球的直径为
20.2
20.2
mm.他把摆球从平衡位置拉开一个小角度由静止释放,使单摆在竖直平面内摆动,当摆动稳定后,在摆球通过平衡位置时启动秒表,并数下“0”,直到摆球第30次同向通过平衡位置时按停秒表,秒表读数如图3所示,读出所经历的时间t,则单摆的周期为
1.80
1.80
s,该实验测得当地的重力加速度为
9.86
9.86
m/s2.(保留3位有效数字)

(3)在测定金属电阻率的实验中,用伏安法测量一个约100Ω电阻丝,可用的仪器:电流表(量程0~30mA,内阻50Ω)、电压表(量程0~3V,内阻5kΩ)、滑动变阻器(最大阻值20Ω)、电源(电动势4V,内阻忽略不计)、开关和导线若干.
①请将你设计的实验电路图画在方框中.
②根据设计的电路图,将下图中的实物连接成实验用的电路.
③为了完成整个实验,除你在电路中已画出的器材外,还需要测量接入电路中的电阻丝长度l的仪器是
毫米刻度尺
毫米刻度尺
,测量电阻丝直径d的仪器是
螺旋测微器
螺旋测微器

④计算电阻率的公式是ρ=
πUd2
4IL
πUd2
4IL
.(用直接测量出的物理量表示)

违法和不良信息举报电话:027-86699610 举报邮箱:58377363@163.com

精英家教网