题目内容

图中E为直流电源,R为已知电阻,V为理想电压表,其量程略大于电源电动势,S1和S2是开关.现要利用图中电路测量电源的电动势E和内阻r,试写出主要实验步骤及结果的表达式.

答案:
解析:

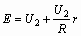
  实验步骤:(1)将S1闭合,S2断开,电压表直接和电源相连,记下电压表读数U,就是电源的电动势;(2)S1、S2均闭合,记下电压表读数U2,即为电阻R两端电压.

  根据闭合电路欧姆定律,有

  即,解得


练习册系列答案
相关题目

违法和不良信息举报电话:027-86699610 举报邮箱:58377363@163.com

精英家教网